Appendices A-C NAEP 2022 Supplemental Documents

NAEP 2022 Appendix A-C.docx

National Assessment of Educational Progress (NAEP) 2022 Materials Update #2

Appendices A-C NAEP 2022 Supplemental Documents

OMB: 1850-0928

Document [docx]
Download: docx | pdf

NATIONAL CENTER FOR EDUCATION STATISTICS NATIONAL ASSESSMENT OF EDUCATIONAL PROGRESS


National Assessment of Education Progress (NAEP) 2022

Materials Update #2


Appendix A-C

External Advisory Committees


OMB# 1850-0928 v.25















September 2021


Table of Contents


Appendix A- Committees and Panels (Approved v.23) 2


Appendix B- Weighting Procedures (Approved v.10) 13

The 2013 Weighting Procedures documentation is the most current version available to the public. At this time, there is not a timeline for when the details for later assessment years will be publicly available.


Appendix C- 2022 Sampling Memo (New) 65





Appendix A




Appendix A-1: NAEP Design and Analysis Committee (DAC)



Name

Affiliation

Betsy Becker

Florida State University, FL

Peter Behuniak

Criterion Consulting, LLC, CT

Dan Bolt

University of Wisconsin, Madison, WI

Lloyd Bond

University of North Carolina, Greensboro, NC (Emeritus)/Carnegie Foundation (retired)

Derek Briggs

University of Colorado, Boulder, CO

Richard Duran

University of California, Santa Barbara, CA

Ben Hansen

University of Michigan, MI

Brian Junker

Carnegie Mellon University, PA

David Kaplan

University of Wisconsin-Madison, WI

Kenneth Koedinger

Carnegie Mellon University, PA

Sophia Rabe-Hesketh

University of California, Berkeley, CA

Michael Rodriguez

University of Minnesota, MN

S. Lynne Stokes

Southern Methodist University, TX

Chun Wang

University of Washington, WA





Appendix A-2: NAEP Validity Studies Panel (NVS)


Name

Affiliation

Keena Arbuthnot


Peter Behuniak

Office of Research and Economic Development

Louisiana State University, LA

Criterion Consulting, LLC, CT

Jack Buckley

Panel Chair American Institutes for Research, Washington, DC

Jim Chromy

RTI International (Emeritus Fellow), Raleigh, NC

Phil Daro

Strategic Education Research Partnership (SERP) Institute, Washington, DC

Richard Duran

Gevirtz Graduate School of Education University of California, Santa Barbara, CA

David Grissmer

Curry School of Education University of Virginia, VA

Larry Hedges

Institute for Policy Research Northwestern University, IL

Gerunda Hughes

Washington, DC

Ina Mullis

TIMSS & PIRLS International Study Ctr, Boston College, MA

Scott Norton

Deputy Executive Director, Programs Council of Chief State School Officers, Washington, DC

Jim Pellegrino

University of Illinois at of Chicago/Learning Sciences Research Institute, IL

Gary Phillips

Cambium Assessment, Washington, DC

Lorrie Shepard

School of Education University of Colorado at Boulder, CO

David Thissen

Dept. of Psychology University of North Carolina at Chapel Hill, NC

Gerald Tindal

University of Oregon, Eugene, OR

Sheila Valencia

Washington, WA

Denny Way

College Board. Washington, DC.



Appendix A-3: NAEP National Indian Education Study Technical Review Panel (NIES)



Name Affiliation

Mandy Smoker Broaddus Education Northwest, Portland, OR

Doreen E. Brown ASD Education Center, Anchorage, AK

Robert B. Cook Teach for America, Summerset, SD

Steve Andrew Culpepper University of Illinois at Urbana-Champaign, IL

Dr. Susan C. Faircloth Panel Chair, Colorado State University, Fort Collins, CO

Dr. Chris Gordon JKL Bahweting Anishinaabe PSA, Sault Ste. Marie, MI

Dr. Jameson D. Lopez University of Arizona. Tucson, AZ

Jeremy MacDonald Rocky Boy Elementary, Box, Elder, MT

Dr. Holly Jonel Mackey North Dakota State University, ND

Jeannette Muskett Miller Central Consolidated School District, Gallup, AZ

Debora Norris Arizona School Facilities Board, Phoenix, AZ

Sedelta Oosahwee National Education Association, DC

Dr. Martin Reinhardt Northern Michigan University, MI





Appendix A-4: NAEP Mathematics Standing Committee



Name

Affiliation



June Ahn

University of California, Irvine, CA


Scott Baldridge

Louisiana State University, Baton Rouge, LA


Joe Garofalo

University of Virginia, Charlottesville, VA


Mark Howell

Jennifer Langer-Osuna

Gonzaga College High School, Washington, DC

Stanford University, Stanford, CA


Michele Mailhot

Maine Department of Education, Augusta, ME


Kayonna Pitchford

University of North Carolina, Pembroke, NC


Angelica Niño

De Zavala Elementary School, San Antonio, TX


Allan Rossman

California Polytechnic State University, College of Mathematics and Science, San Luis Obispo, CA


Amy Roth McDuffie

Washington State University, Pullman, WA


Edward Silver

University of Michigan, Ann Arbor, MI


Lya Snell

Georgia Department of Education, Atlanta, GA


Zalman Usiskin

University of Chicago, Chicago, IL


Vivian Valencia

Eutimio “Tim” Salazar III Elementary, Española

Public Schools, Española, NM





























Appendix A-5: NAEP Reading Standing Committee


Name

Affiliation

Patricia Alexander

University of Maryland, College Park, MD

Alison Bailey

Jensa Bushey

University of California, Los Angeles, CA

Shelburne Community Schools, Shelburne, VT

Bridget Dalton

Christy Howard

University of Colorado, Boulder, CO

East Carolina University, Greenville, NC

Jeanette Mancilla-Martinez

Vanderbilt University, Nashville, TN

Pamela Mason

Harvard Graduate School of Education, Cambridge, MA

Frank Serafini

Arizona State University, Phoenix, AZ

Kris Shaw

Ana Taboada Barber

Kansas State Department of Education, Topeka, KS

University of Maryland, College Park, MD

Diana Townsend

Brandon Wallace

University of Nevada, Reno, NV

Montgomery College, Takoma Park, MD



Appendix A-6: NAEP Survey Questionnaire Standing Committee


Name


Flávio Cunha

Affiliation


Rice University, Houston, TX


Hunter Gehlbach


Johns Hopkins School of Education, Baltimore, MD


Cassandra Guarino

University of California, Riverside, CA

Jori Hall

University of Georgia, Athens, GA

Henry Levin


Laura Moore



Teachers College, Columbia University, NY, NY


Obama Foundation, Chicago, IL

Stanley Presser

University of Maryland, College Park, MD

Leslie Rutkowski

Indiana University Bloomington, IN

Akane Zusho

Fordham University, NY, NY




Appendix A-7: NAEP Mathematics Translation Review Committee


Name

Affiliation

Mayra Aviles

Puerto Rico Department of Education, Hato Rey, PR

David Feliciano

The Melrose School (P.S./M.S 29), Bronx, NY

Yvonne Fuentes

University of West Georgia, Carrollton, GA

Marco Martinez-Leandro

Sandia High School, Albuquerque, NM

Jose Antonio (Tony) Paulino

Nathan Straus Preparatory School (P.S. 140M), New York, NY

Evelisse Rosado Rivera

Puerto Rico Department of Education, Hato Rey, PR

Myrna Rosado-Rasmussen

Austin Independent School District, Austin, TX

Gloria Rosado Vazquez

Puerto Rico Department of Education, Hato Rey, PR

Enid Valle

Kalamazoo College, Kalamazoo, MI


Appendix A-8: NAEP Grade 4 and 8 Survey Questionnaires and eNAEP DBA System Translation Committee



Name

Affiliation

Daniel Berdugo

Wilton Elementary School (PS 30X), Bronx, NY

Yvonne Fuentes

University of West Georgia, Carrollton, GA

Marco Martinea-Leandro

Sandia High School, Albuquerque, NM

Jose Antonio (Tony) Paulino

Nathan Straus Preparatory School (P.S. 140M), New York, NY

Evelisse Rosado Rivera

Puerto Rico Department of Education, Hato Rey, PR

Myrna Rosado-Rasmussen

Austin Independent School District, Austin, TX

Gloria M. Rosado Vazquez

Puerto Rico Department of Education, Hato Rey, PR

Enid Valle

Kalamazoo College, Kalamazoo, MI

Appendix A-9: NAEP Principals’ Panel Standing Committee



Name

Affiliation

David Atherton

Clear Creek Middle School, Gresham, OR

Williams Carozza

Harold Martin Elementary School, Hopkinton, NH

Rita Graves

Pin Oak Middle School, Bellaire, TX

Stephen Jackson

Principal Consultant and Chair, NAEP Principals’ Panel

Anthony Lockhart

Fulton-Holland Educational Services Center

West Palm Beach, FL

Lillie McMillan

Kourtney Miller

Porter Elementary School, San Diego, CA

Chavez Prep Middle School, Washington, DC

Jason Mix

Howard Lake–Waverly–Winsted High School, Howard Lake, MN

Leon Oo-Sah-We

Ardith Bates Stanford

Saint Francis Indian School, Saint Francis, SD

Murray County Schools, Chattanooga, TN

Sylvia Rodriguez Vargas

The Hill School, Pottstown, PA










Appendix B


NATIONAL CENTER FOR EDUCATION STATISTICS NATIONAL ASSESSMENT OF EDUCATIONAL PROGRESS


National Assessment of Educational Progress (NAEP)

2022



Appendix B


NAEP 2013 Weighting Procedures


OMB# 1850-0928 v.25








August 2021

No changes since v.10

The 2013 Weighting Procedures documentation is the most current version available to the public. At this time, there is not a timeline for when the details for later assessment years will be publicly available.

NAEP Technical Documentation Website

NAEP Technical Documentation Weighting Procedures for the 2013 Assessment


NAEP assessments use complex sample designs to create student samples that generate population and subpopulation estimates with reasonably high precision. Student sampling weights ensure valid inferences from the student samples to their respective populations. In 2013, weights were developed for students sampled at grades 4, 8, and 12 for assessments in mathematics and reading.

Computation of Full-Sample Weights

Computation of Replicate Weights for Variance Estimation

Quality Control on Weighting Procedures

Each student was assigned a weight to be used for making inferences about students in the target population. This weight is known as the final full-sample student weight and contains the following major components:

Shape1 the student base weight;

Shape2 Shape3 Shape4 school nonresponse adjustments; student nonresponse adjustments; school weight trimming adjustments;

Shape5 Shape6 student weight trimming adjustments; and student raking adjustment.

The student base weight is the inverse of the overall probability of selecting a student and assigning that student to a particular assessment. The sample design that determines the base weights is discussed in the NAEP 2013 sample design section.

The student base weight is adjusted for two sources of nonparticipation: school level and student level. These weighting adjustments seek to reduce the potential for bias from such nonparticipation by

Shape7 increasing the weights of students from participating schools similar to those schools not participating; and

Shape8 increasing the weights of participating students similar to those students from within participating schools who did not attend the assessment session (or makeup session) as scheduled.

Furthermore, the final weights reflect the trimming of extremely large weights at both the school and student level. These weighting adjustments seek to reduce variances of survey estimates.

An additional weighting adjustment was implemented in the state and Trial Urban District Assessment (TUDA) samples so that estimates for key student-level characteristics were in agreement across assessments in reading and mathematics. This adjustment was implemented using a raking procedure.

In addition to the final full-sample weight, a set of replicate weights was provided for each student. These replicate weights are used to calculate the variances of survey estimates using the jackknife repeated replication method. The methods used to derive these weights were aimed at reflecting the features of the sample design, so that when the jackknife variance estimation procedure is implemented, approximately unbiased estimates of sampling variance are obtained. In addition, the various weighting procedures were repeated on each set of replicate weights to appropriately reflect the impact of the weighting adjustments on the sampling variance of a survey estimate. A finite population correction (fpc) factor was incorporated into the replication scheme so that it could be reflected in the variance estimates for the reading and mathematics assessments. See Computation of Replicate Weights for Variance Estimation for details.

Quality control checks were carried out throughout the weighting process to ensure the accuracy of the full-sample and replicate weights. See Quality Control for Weighting Procedures for the various checks implemented and main findings of interest.

In the linked pages that follow, please note that Vocabulary, Reading Vocabulary, and Meaning Vocabulary refer to the same reporting scale and are interchangeable.




http://nces.ed.gov/nationsreportcard/tdw/weighting/2013/naep_assessment_weighting_procedures.aspx

Shape9


NAEP Technical Documentation Computation of Full- Sample W eights for the 2013 Assessment



The full-sample or final student weight is the sampling weight used to derive NAEP student estimates of population and subpopulation characteristics for a specified grade (4, 8, or 12) and assessment subject (reading or mathematics). The full-sample student weight reflects the number of students that the sampled student represents in the population for purposes of estimation. The summation of the final student weights over a particular student group provides an estimate of the total number of students in that group within the population.

The full-sample weight, which is used to produce survey estimates, is

Computation of Base Weights

School and Student Nonresponse Weight Adjustments

School and Student Weight Trimming Adjustments

Student Weight Raking Adjustment

distinct from a replicate weight that is used to estimate variances of survey estimates. The full-sample weight is assigned to participating students and reflects the student base weight after the application of the various weighting adjustments. The full-sample weight for student k from school s in stratum j (FSTUWGTjsk) can be expressed as follows:





where

Shape11 STU_BWTjsk is the student base weight;

Shape12 Shape13 Shape14 Shape15 Shape16 SCH_NRAFjs is the school-level nonresponse adjustment factor; STU_NRAFjsk is the student-level nonresponse adjustment factor; SCH_TRIMjs is the school-level weight trimming adjustment factor; STU_TRIMjsk is the student-level weight trimming adjustment factor; and STU_RAKEjsk is the student-level raking adjustment factor.


School sampling strata for a given assessment vary by school type and grade. See the links below for descriptions of the school strata for the various assessments.

Shape17 Shape18 Public schools at grades 4 and 8 Public schools at grade 12

Shape19 Private schools at grades 4, 8 and 12




http://nces.ed.gov/nationsreportcard/tdw/weighting/2013/computation_of_full_sample_weights_for_the_2013_assessment.aspx

Shape20


NAEP Technical Documentation Computation of Base Weights for the 2013 Assessment


Every sampled school and student received a base weight equal to the reciprocal of its probability of selection. Computation of a school base weight varies by

Shape21 Shape22 type of sampled school (original or substitute); and sampling frame (new school frame or not).

Computation of a student base weight reflects

School Base Weights Student Base Weights

Shape23 Shape24 the student's overall probability of selection accounting for school and student sampling; assignment to session type at the school- and student-level; and

Shape25 the student's assignment to the reading or mathematics assessment.




http://nces.ed.gov/nationsreportcard/tdw/weighting/2013/computation_of_base_weights_for_the_2013_assessment.aspx

Shape26


NAEP Technical Documentation School Base Weights for the 2013 Assessment

The school base weight for a sampled school is equal to the inverse of its overall probability of selection. The overall selection probability of a sampled school differs by

Shape27 Shape28 type of sampled school (original or substitute); sampling frame (new school frame or not).

The overall selection probability of an originally selected school in a reading or mathematics sample is equal to its probability of selection from the NAEP public/private school frame.

The overall selection probability of a school from the new school frame in a reading or mathematics sample is the product of two quantities:

Shape29 Shape30 the probability of selection of the school's district into the new-school district sample, and the probability of selection of the school into the new school sample.

Substitute schools are preassigned to original schools and take the place of original schools if they refuse to participate. For weighting purposes, they are treated as if they were the original schools that they replaced; so substitute schools are assigned the school base weight of the original schools.

Learn more about substitute schools for the 2013 private school national assessment and substitute schools for the 2013 twelfth grade public school assessment.




http://nces.ed.gov/nationsreportcard/tdw/weighting/2013/school_base_weights_for_the_2013_assessment.aspx

Shape31


NAEP Technical Documentation Student Base Weights for the 2013 Assessment

Every sampled student received a student base weight, whether or not the student participated in the assessment. The student base weight is the reciprocal of the probability that the student was sampled to participate in the assessment for a specified subject. The student base weight for student k from school s in stratum j (STU_BWTjsk) is the product of seven weighting components and can be expressed as follows:






where

Shape32 SCH_BWTjs is the school base weight;

Shape33 SCHSsessionassignmentESWTjs is the school-level session assignment weight that reflects the conditional probability, given the school, that the particular session type was assigned to the school;

Shape34 WINSCHWTjs is the within-school student weight that reflects the conditional probability, given the school, that the student was selected for the NAEP assessment;

Shape35 STUSESWTjsk is Stu_bookmarkthe student-level session assignment weight that reflects the conditional probability, given that the particular session type was assigned to the school, that the student was assigned to the session type;

Shape36 SUBJFACsubjfacjsk is the subject spiral adjustment factor that reflects the conditional probability, given that the student was assigned to a particular session type, that the student was assigned the specified subject;

Shape37 SUBADJjs is the substitution adjustment factor to account for the difference in enrollment size between the substitute and original school; and

Shape38 YRRND_AFjs is the year-round adjustment factor to account for students in year- round schools on scheduled break at the time of the NAEP assessment and thus not available to be included in the sample.

The within-school student weight (WINSCHWTjs) is the inverse of the student sampling rate in the school.

The subject spiral adjustment factor (SUBJFACjsk) adjusts the student weight to account for the spiral pattern used in distributing reading or mathematics booklets to the students. The subject factor varies by grade, subject, and school type (public or private), and it is equal to the inverse of

the booklet proportions (reading or mathematics) in the overall spiral for a specific sample.

For cooperating substitutes of nonresponding original sampled schools, the substitution adjustment factor (SUBADJjs) is equal to the ratio of the estimated grade enrollment for the original sampled school to the estimated grade enrollment for the substitute school. The student sample from the substitute school then "represents" the set of grade-eligible students from the original sampled school.

The year-round adjustment factor (YRRND_AFjs) adjusts the student weight for students in year- round schools who do not attend school during the time of the assessment. This situation typically arises in overcrowded schools. School administrators in year-round schools randomly assign students to portions of the year in which they attend school and portions of the year in which they do not attend. At the time of assessment, a certain percentage of students (designated as OFF js) do not attend school and thus cannot be assessed. The YRRND_AFjs for a school is calculated as 1/(1- OFF js/100).




http://nces.ed.gov/nationsreportcard/tdw/weighting/2013/student_base_weights_for_the_2013_assessment.aspx

Shape39

NAEP Technical Documentation Website

NAEP Technical Documentation School and Student

Nonresponse Weight Adjustments for the 2013 Assessment


Nonresponse is unavoidable in any voluntary survey of a human population. Nonresponse leads to the loss of sample data that must be compensated for in the weights of the responding sample members. This differs from ineligibility, for which no adjustments are necessary. The purpose of the nonresponse adjustments is to reduce the mean square error of survey estimates. While the nonresponse adjustment reduces the bias from the loss of sample, it also increases variability among the survey weights leading to increased variances of the sample estimates. However, it is presumed that the reduction in bias more than compensates for the increase in

School Nonresponse Weight Adjustment

Student Nonresponse Weight Adjustment

the variance, thereby reducing the mean square error and thus improving the accuracy of survey estimates. Nonresponse adjustments are made in the NAEP surveys at both the school and the student levels: the responding (original and substitute) schools receive a weighting adjustment to compensate for nonresponding schools, and responding students receive a weighting adjustment to compensate for nonresponding students.

The paradigm used for nonresponse adjustment in NAEP is the quasi-randomization approach (Oh and Scheuren 1983). In this approach, school response cells are based on characteristics of schools known to be related to both response propensity and achievement level, such as the locale type (e.g., large principal city of a metropolitan area) of the school. Likewise, student response cells are based on characteristics of the schools containing the students and student characteristics, which are known to be related to both response propensity and achievement level, such as student race/ethnicity, gender, and age.

Under this approach, sample members are assigned to mutually exclusive and exhaustive response cells based on predetermined characteristics. A nonresponse adjustment factor is calculated for each cell as the ratio of the sum of adjusted base weights for all eligible units to the sum of adjusted base weights for all responding units. The nonresponse adjustment factor is then applied to the base weight of each responding unit. In this way, the weights of responding units in the cell are "weighted up" to represent the full set of responding and nonresponding units in the response cell.

The quasi-randomization paradigm views nonresponse as another stage of sampling. Within each nonresponse cell, the paradigm assumes that the responding sample units are a simple random sample from the total set of all sample units. If this model is valid, then the use of the quasi-randomization weighting adjustment will eliminate any nonresponse bias. Even if this model is not valid, the weighting adjustments will eliminate bias if the achievement scores are homogeneous within the response cells (i.e., bias is eliminated if there is homogeneity either in response propensity or in achievement levels). See, for example, chapter 4 of Little and Rubin (1987).




http://nces.ed.gov/nationsreportcard/tdw/weighting/2013/school_and_student_nonresponse_weight_adjustments_for_the_2013_assessment.aspx

Shape40


NAEP Technical Documentation School Nonresponse Weight Adjustment


The school nonresponse adjustment procedure inflates the weights of cooperating schools to account for eligible noncooperating schools for which no substitute schools participated. The adjustments are computed within nonresponse cells and are based on the assumption that the cooperating and noncooperating schools within the same cell are more similar to each other than to schools from different cells. School nonresponse adjustments were carried out separately by sample; that is, by

Shape42 Shape43 Shape44 sample level (state, national), school type (public, private), and grade (4, 8, 12).

Development of Initial School Nonresponse Cells

Development of Final School Nonresponse Cells

School Nonresponse Adjustment Factor Calculation


NAEP Technical Documentation Development of Initial School Nonresponse Cells

The cells for nonresponse adjustments are generally functions of the school sampling strata for the individual samples. School sampling strata usually differ by assessment subject, grade, and school type (public or private). Assessment subjects that are administered together by way of spiraling have the same school samples and stratification schemes. Subjects that are not spiraled with any other subjects have their own separate school sample. In NAEP 2015, all operational assessments were spiraled together.

The initial nonresponse cells for the various NAEP 2015 samples are described below.


Public School Samples for Reading and Mathematics at Grades 4 and 8

For these samples, initial weighting cells were formed within each jurisdiction using the following nesting cell structure:

Shape46 Shape47 Trial Urban District Assessment (TUDA) district vs. the balance of the state for states with TUDA districts, urbanicity (urban-centric locale) stratum; and

Shape48 race/ethnicity classification stratum, or achievement level, or median income, or grade enrollment.

In general, the nonresponse cell structure used race/ethnicity classification stratum as the lowest level variable. However, where there was only one race/ethnicity classification stratum within a particular urbanicity stratum, categorized achievement, median income, or enrollment data were used instead.


Public School Sample at Grade 12

Shape49 The initial weighting cells for this sample were formed using the following nesting cell structure: census division stratum,

Shape50 Shape51 urbanicity stratum (urban-centric locale), and race/ethnicity classification stratum.


Private School Samples at Grades 4, 8 and 12

Shape52 The initial weighting cells for these samples were formed within each grade using the following nesting cell structure: affiliation,

Shape53 census division stratum,

Shape54 Shape55 urbanicity stratum (urban-centric locale), and race/ethnicity classification stratum.




http://nces.ed.gov/nationsreportcard/tdw/weighting/2013/development_of_initial_school_nonresponse_cells_for_the_2013_assessment.aspx

Shape56


NAEP Technical Documentation Development of Final School Nonresponse Cells

Limits were placed on the magnitude of cell sizes and adjustment factors to prevent unstable nonresponse adjustments

and unacceptably large nonresponse factors. All initial weighting cells with fewer than six cooperating schools or adjustment factors greater than 3.0 for the full sample weight were collapsed with suitable adjacent cells. Simultaneously, all initial weighting cells for any replicate with fewer than four cooperating schools or adjustment factors greater than the maximum of

    1. or two times the full sample nonresponse adjustment factor were collapsed with suitable adjacent cells. Initial weighting cells were generally collapsed in reverse order of the cell structure; that is, starting at the bottom of the nesting structure and working up toward the top level of the nesting structure.


Public School Samples at Grades 4 and 8

For the grade 4 and 8 public school samples, cells with the most similar race/ethnicity classification within a

given jurisdiction/Trial Urban District Assessment (TUDA) district and urbanicity (urban-centric locale) stratum were collapsed first. If further collapsing was required after all levels of race/ethnicity strata were collapsed, cells with the most similar urbanicity strata were combined next. Cells were never permitted to be collapsed across jurisdictions or TUDA districts.


Public School Sample at Grades 12


For the grade 12 public school sample, race/ethnicity classification cells within a given census division stratum and urbanicity stratum were collapsed first. If further collapsing was required after all levels of race/ethnicity classification were collapsed, cells with the most similar urbanicity strata were combined next. Any further collapsing occurred across census division strata but never across census regions.


Private School Samples at Grades 4, 8, and 12


For the private school samples, cells with the most similar race/ethnicity classification within a given affiliation, census division, and urbanicity stratum were collapsed first. If further collapsing was required after all levels of race/ethnicity strata were collapsed, cells with the most similar urbanicity classification were combined. Any further collapsing occurred across census division strata but never across affiliations.




http://nces.ed.gov/nationsreportcard/tdw/weighting/2013/development_of_final_school_nonresponse_cells_for_the_2013_assessment.aspx

Shape57


NAEP Technical Documentation School Nonresponse Adjustment Factor Calculation

In each final school nonresponse adjustment cell c, the school nonresponse adjustment factor SCH_NRAFc was computed as follows:





where

Shape58 Sc is the set of all eligible sampled schools (cooperating original and substitute schools and refusing original schools with noncooperating or no assigned substitute) in cell c,

Shape59 Shape60 Rc is the set of all cooperating schools within Sc, SCH_BWTs is the school base weight,

Shape61 Shape62 SCH_TRIMs is the school-level weight trimming factor, SCHSESWTs is the school-level session assignment weight, and

Shape63 Xs is the estimated grade enrollment corresponding to the original sampled school.



http://nces.ed.gov/nationsreportcard/tdw/weighting/2013/school_nonresponse_adjustment_factor_calculation_for_the_2013_assessment.aspx

Shape64


NAEP Technical Documentation Student Nonresponse Weight Adjustment


The student nonresponse adjustment procedure inflates the weights of assessed students to account for eligible sampled students who did not participate in the assessment. These inflation factors offset the loss of data associated with absent students. The adjustments are computed within nonresponse cells and are based on the assumption that the assessed and absent students within the same cell are more similar to one another than to students from different cells. Like its counterpart at the school level, the student nonresponse adjustment is

Development of Initial Student Nonresponse Cells

Development of Final Student Nonresponse Cells

Student Nonresponse Adjustment Factor Calculation

intended to reduce the mean square error and thus improve the accuracy of NAEP assessment estimates. Also, like its counterpart at the school level, student nonresponse adjustments were carried out separately by sample; that is, by

Shape65 grade (4, 8, 12),

Shape66 school type (public, private), and

Shape67 assessment subject (mathematics, reading, science, meaning vocabulary).




http://nces.ed.gov/nationsreportcard/tdw/weighting/2013/student_nonresponse_weight_adjustment_for_the_2013_assessment.aspx

Shape68


NAEP Technical Documentation Development of Initial Student Nonresponse Cells for the 2013 Assessment

Initial student nonresponse cells are generally created within each sample as defined by grade, school type (public, private), and assessment subject. However, when subjects are administered together by way of spiraling, the initial student nonresponse cells are created across the subjects in the same spiral. The rationale behind this decision is that spiraled subjects are in the same schools and the likelihood of whether an eligible student participates in an assessment is more related to its school than the subject of the assessment booklet. In NAEP 2013, there was only one spiral, with the reading and mathematics assessments spiraled together. The initial student nonresponse cells for the various NAEP 2013 samples are described below.

Nonresponse adjustment procedures are not applied to excluded students because they are not required to complete an assessment.


Public School Samples for Reading and Mathematics at Grades 4 and 8

The initial student nonresponse cells for these samples were defined within grade, jurisdiction, and Trial Urban District Assessment (TUDA) district using the following nesting cell structure:

Shape69 Shape70 students with disabilities (SD)/English language learners (ELL) by subject, school nonresponse cell,

Shape71 Shape72 age (classified into "older"1 student and "modal age or younger" student), gender, and

Shape73 race/ethnicity.

The highest level variable in the cell structure separates students who were classified either as having disabilities (SD) or as English language learners (ELL) from those who are neither, since SD or ELL students tend to score lower on assessment tests than non-SD/non-ELL students. In addition, the students in the SD or ELL groups are further broken down by subject, since rules for excluding students from the assessment differ by subject. Non-SD and non-ELL students are not broken down by subject, since the exclusion rules do not apply to them.


Public School Samples for Reading and Mathematics at Grade 12

The initial weighting cells for these samples were formed hierarchically within state for the state-reportable samples and the balance of the country for remaining states as follows:

Shape74 SD/ELL,

Shape75 school nonresponse cell,

Shape76 Shape77 age (classified into "older"1 student and "modal age or younger" student), gender, and

Shape78 race/ethnicity.


Private School Samples for Reading and Mathematics at Grades 4, 8, and 12

Shape79 The initial weighting cells for these private school samples were formed hierarchically within grade as follows: SD/ELL,

Shape80 school nonresponse cell,

Shape81 Shape82 age (classified into "older"1 student and "modal age or younger" student), gender, and

Shape83 race/ethnicity.

Although exclusion rules differ by subject, there were not enough SD or ELL private school students to break out by subject as was done for the public schools.


1Older students are those born before October 1, 2002, for grade 4; October 1, 1998, for grade 8; and October 1, 1994, for

grade 12.




http://nces.ed.gov/nationsreportcard/tdw/weighting/2013/development_of_initial_student_nonresponse_cells_for_the_2013_assessment.aspx

Shape84


NAEP Technical Documentation Development of Final Student Nonresponse Cells for the 2013 Assessment

Similar to the school nonresponse adjustment, cell and adjustment factor size constraints are in place to prevent unstable nonresponse adjustments or unacceptably large adjustment factors. All initial weighting cells with either fewer than 20 participating students or adjustment factors greater than 2.0 for the full sample weight were collapsed with suitable adjacent cells. Simultaneously, all initial weighting cells for any replicate with either fewer than 15 participating students or an adjustment factor greater than the maximum of 2.0 or 1.5 times the full sample nonresponse adjustment factor were collapsed with suitable adjacent cells.

Initial weighting cells were generally collapsed in reverse order of the cell structure; that is, starting at the bottom of the nesting structure and working up toward the top level of the nesting structure. Race/ethnicity cells within SD/ELL groups, school nonresponse cell, age, and gender classes were collapsed first. If further collapsing was required after collapsing all race/ethnicity classes, cells were next combined across gender, then age, and finally school nonresponse cells. Cells are never collapsed across SD and ELL groups for any sample.




http://nces.ed.gov/nationsreportcard/tdw/weighting/2013/development_of_final_student_nonresponse_cells_for_the_2013_assessment.aspx

Shape85


NAEP Technical Documentation Student Nonresponse Adjustment Factor Calculation

In each final student nonresponse adjustment cell c for a given sample, the student nonresponse adjustment factor STU_NRAFc was computed as follows:




where

Shape86 Shape87 Sc is the set of all eligible sampled students in cell c for a given sample, Rc is the set of all assessed students within Sc,

Shape88 STU_BWTk is the student base weight for a given student k,

Shape89 Shape90 Shape91 SCH_TRIMk is the school-level weight trimming factor for the school associated with student k, SCH_NRAFk is the school-level nonresponse adjustment factor for the school associated with student k, and SUBJFACk is the subject factor for a given student k.

The student weight used in the calculation above is the adjusted student base weight, without regard to subject, adjusted for school weight trimming and school nonresponse.

Nonresponse adjustment procedures are not applied to excluded students because they are not required to complete an assessment. In effect, excluded students were placed in a separate nonresponse cell by themselves and all received an adjustment factor of 1. While excluded students are not included in the analysis of the NAEP scores, weights are provided for excluded students in order to estimate the size of this group and its population characteristics.




http://nces.ed.gov/nationsreportcard/tdw/weighting/2013/student_nonresponse_adjustment_factor_calculation_for_the_2013_assessment.aspx

Shape92


NAEP Technical Documentation School and Student Weight Trimming Adjustments for the 2013 Assessment


Weight trimming is an adjustment procedure that involves detecting and reducing extremely large weights. "Extremely large weights" generally refer to large sampling weights that were not anticipated in the design of the sample. Unusually large weights are likely to produce large sampling variances for statistics of interest, especially when the large weights are associated with sample cases reflective of rare or atypical characteristics. To reduce the impact of these large weights on variances, weight reduction methods are typically employed. The goal of employing weight reduction methods is to reduce the mean square error of survey estimates. While the

Trimming of School Base Weights

Trimming of Student Weights

trimming of large weights reduces variances, it also introduces some bias. However, it is presumed that the reduction in the variances more than compensates for the increase in the bias, thereby reducing the mean square error and thus improving the accuracy of survey estimates (Potter 1988). NAEP employs weight trimming at both the school and student levels.




http://nces.ed.gov/nationsreportcard/tdw/weighting/2013/school_and_student_weight_trimming_adjustments_for_the_2013_assessment.aspx

Shape93


NAEP Technical Documentation Trimming of School Base Weights

Large school weights can occur for schools selected from the NAEP new-school sampling frame and for private schools. New schools that are eligible for weight trimming are schools with a disproportionately large student enrollment in a particular grade from a school district that was selected with a low probability of selection. The school base weights for such schools may be large relative to what they would have been if they had been selected as part of the original sample.

To detect extremely large weights among new schools, a comparison was made between a new school's school base weight and its ideal weight (i.e., the weight that would have resulted had the school been selected from the original school sampling frame). If the school base weight was more than three times the ideal weight, a trimming factor was calculated for that school that scaled the base weight back to three times the ideal weight. The calculation of the school-level trimming factor for a new school s is expressed in the following formula:




where

Shape94 EXP_WTs is the ideal base weight the school would have received if it had been on the NAEP public school sampling frame, and

Shape95 SCH_BWTs is the actual school base weight the school received as a sampled school from the new school frame.

Thirty-seven (37) schools out of 377 selected from the new-school sampling frame had their weights trimmed: eight at grade 4, 29 at grade 8, and zero at grade 12.

Private schools eligible for weight trimming were Private School Universe Survey (PSS) nonrespondents who were found subsequently to have either larger enrollments than assumed at the time of sampling, or an atypical probability of selection given their affiliation, the latter being unknown at the time of sampling. For private school s, the formula for computing the school-level weight trimming factor SCH_TRIMs is identical to that used for new schools. For private schools,

Shape96 EXP_WTs is the ideal base weight the school would have received if it had been on the NAEP private school sampling frame with accurate enrollment and known affiliation, and

Shape97 SCH_BWTs is the actual school base weight the school received as a sampled private school.

No private schools had their weights trimmed.




http://nces.ed.gov/nationsreportcard/tdw/weighting/2013/trimming_of_school_base_weights_for_the_2013_assessment.aspx

Shape98


NAEP Technical Documentation Trimming of Student Weights

Large student weights generally come from compounding nonresponse adjustments at the school and student levels with artificially low school selection probabilities, which can result from inaccurate enrollment data on the school frame used to define the school size measure. Even though measures are in place to limit the number and size of excessively large weights—such as the implementation of adjustment factor size constraints in both the school and student nonresponse procedures and the use of the school trimming procedure—large student weights can occur due to compounding effects of the various weighting components.

The student weight trimming procedure uses a multiple median rule to detect excessively large student weights. Any student weight within a given trimming group greater than a specified multiple of the median weight value of the given trimming group has its weight scaled back to that threshold. Student weight trimming was implemented separately by grade, school type (public or private), and subject. The multiples used were 3.5 for public school trimming groups and 4.5 for private school trimming groups. Trimming groups were defined by jurisdiction and Trial Urban District Assessment (TUDA) districts for the public school samples at grades 4 and 8; by dichotomy of low/high percentage of Black and Hispanic students (15 percent and below, above 15 percent) for the public school sample at grade 12; and by affiliation (Catholic, Non-Catholic) for private school samples at grades 4, 8 and 12.

The procedure computes the median of the nonresponse-adjusted student weights in the trimming group g for a given grade and subject sample. Any student k with a weight more than M times the median received a trimming factor calculated as follows:



where

Shape100 M is the trimming multiple,

Shape101 Shape102 MEDIANg is the median of nonresponse-adjusted student weights in trimming group g, and STUWGTgk is the weight after student nonresponse adjustment for student k in trimming group g.

In the 2013 assessment, relatively few students had weights considered excessively large. Out of the approximately 840,000 students included in the combined 2013 assessment samples, 226 students had their weights trimmed.




http://nces.ed.gov/nationsreportcard/tdw/weighting/2013/trimming_of_student_weights_for_the_2013_assessment.aspx

Shape103


NAEP Technical Documentation Student Weight Raking Adjustment for the 2013 Assessment


Weighted estimates of population totals for student-level subgroups for a given grade will vary across subjects even though the student samples for each subject generally come from the same schools. These differences are the result of sampling error associated with the random assignment of subjects to students through a process known as spiraling. For state assessments in particular, any

Development of Final Raking Dimensions Raking Adjustment Control Totals

Raking Adjustment Factor Calculation

difference in demographic estimates between subjects, no matter how small, may raise concerns about data quality. To remove these random differences and potential data quality concerns, a new step was added to the NAEP weighting procedure starting in 2009. This step adjusts the student weights in such a way that the weighted sums of population totals for specific subgroups are the same across all subjects. It was implemented using a raking procedure and applied only to state-level assessments.

Raking is a weighting procedure based on the iterative proportional fitting process developed by Deming and Stephan (1940) and involves simultaneous ratio adjustments to two or more marginal distributions of population totals. Each set of marginal population totals is known as a dimension, and each population total in a dimension is referred to as a control total. Raking is carried out in a sequence of adjustments. Sampling weights are adjusted to one marginal distribution and then to the second marginal distribution, and so on. One cycle of sequential adjustments to the marginal distributions is called an iteration. The procedure is repeated until convergence is achieved. The criterion for convergence can be specified either as the maximum number of iterations or an absolute difference (or relative absolute difference) from the marginal population totals. More discussion on raking can be found in Oh and Scheuren (1987).

For NAEP 2013, the student raking adjustment was carried out separately in each state for the reading

and mathematics public school samples at grades 4 and 8, and in the 13 states with state-reportable samples for the reading and mathematics public school samples at grade 12. The dimensions used in the raking process were National School Lunch Program (NSLP) eligibility, race/ethnicity, SD/ELL status, and gender. The control totals for these dimensions were obtained from the NAEP student sample weights of the reading

and mathematics samples combined.




http://nces.ed.gov/nationsreportcard/tdw/weighting/2013/student_weight_raking_adjustment_for_the_2013_assessment.aspx

Shape104


NAEP Technical Documentation Development of Final Raking Dimensions

The raking procedure involved four dimensions. The variables used to define the dimensions are listed below along with the categories making up the initial raking cells for each dimension.

Shape105 National School Lunch Program (NSLP) eligibility

      1. Eligible for free or reduced-price lunch

      2. Shape106 Otherwise Race/Ethnicity

  1. White, not Hispanic

  2. Black, not Hispanic

  3. Hispanic

  4. Asian

  5. American Indian/Alaska Native

  6. Native Hawaiian/Pacific Islander

  7. Shape107 Two or More Races SD/ELL status

  1. SD, but not ELL

  2. ELL, but not SD

  3. SD and ELL

  4. Shape108 Neither SD nor ELL Gender

  1. Male

  2. Female

In states containing districts that participated in Trial Urban District Assessments (TUDA) districts at grades 4 and 8, the initial cells were created separately for each TUDA district and the balance of the state. Similar to the procedure used for school and student nonresponse adjustments, limits were placed on the magnitude of the cell sizes and adjustment factors to prevent unstable raking adjustments that could have resulted in unacceptably large or small adjustment factors. Levels of a dimension were combined whenever there were fewer than 30 assessed or excluded students (20 for any of the replicates) in a category, if the smallest adjustment was less than 0.5, or if the largest adjustment was greater than 2 for the full sample or for any replicate.


If collapsing was necessary for the race/ethnicity dimension, the following groups were combined first: American Indian/Alaska Native with Black, not Hispanic; Hawaiian/Pacific Islander with Black, not Hispanic; Two or More Races with White, not Hispanic; Asian with White, not Hispanic; and Black, not Hispanic with Hispanic. If further collapsing was necessary, the five categories American Indian/Alaska Native; Two or More Races; Asian; Native Hawaiian/Pacific Islander; and White, not Hispanic were combined. In some instances, all seven categories had to be collapsed.

If collapsing was necessary for the SD/ELL dimension, the SD/not ELL and SD/ELL categories were combined first, followed by ELL/not SD if further collapsing was necessary. In some instances, all four categories had to be collapsed.




http://nces.ed.gov/nationsreportcard/tdw/weighting/2013/development_of_final_raking_dimensions_for_the_2013_assessment.aspx

Shape109


NAEP Technical Documentation Raking Adjustment Control Totals for the 2013 Assessment

The control totals used in the raking procedure for NAEP 2013 grades 4, 8, and 12 were estimates of the student population derived from the set of assessed and excluded students pooled across subjects. The control totals for category c within dimension d were computed as follows:



where

Shape110 Shape111 Shape112 Rc(d) is the set of all assessed students in category c of dimension d, Ec(d) is the set of all excluded students in category c of dimension d, STU_BWTk is the student base weight for a given student k,

Shape113 Shape114 Shape115 SCH_TRIMk is the school-level weight trimming factor for the school associated with student k, SCH_NRAFk is the school-level nonresponse adjustment factor for the school associated with student k, STU_NRAFk is the student-level nonresponse adjustment factor for student k, and

Shape116 SUBJFACk is the subject factor for student k.

The student weight used in the calculation of the control totals above is the adjusted student base weight, without regard to subject, adjusted for school weight trimming, school nonresponse, and student nonresponse. Control totals were computed for the full sample and for each replicate independently.




http://nces.ed.gov/nationsreportcard/tdw/weighting/2013/raking_adjustment_control_totals_for_the_2013_assessment.aspx

Shape117


NAEP Technical Documentation Raking Adjustment Factor Calculation for the 2013 Assessment

For assessed and excluded students in a given subject, the raking adjustment factor STU_RAKEk was computed as follows:

First, the weight for student k was initialized as follows:








where



Shape118



STU_BWTk is the student base weight for a given student k,

Shape119 Shape120 Shape121 SCH_TRIMk is the school-level weight trimming factor for the school associated with student k, SCH_NRAFk is the school-level nonresponse adjustment factor for the school associated with student k, STU_NRAFk is the student-level nonresponse adjustment factor for student k, and

Shape122 SUBJFACk is the subject factor for student k.

Then, the sequence of weights for the first iteration was calculated as follows for student k in category c of dimension d:


For dimension 1:







For dimension 2:







For dimension 3:






For dimension 4:





where

Shape123 Shape124 Shape125 Rc(d) is the set of all assessed students in category c of dimension d, Ec(d) is the set of all excluded students in category c of dimension d, and Totalc(d) is the control total for category c of dimension d.

Shape126

k

The process is said to converge if the maximum difference between the sum of adjusted weights and the control totals is 1.0 for each category in each dimension. If after the sequence of adjustments the maximum difference was greater than 1.0, the process continues to the next iteration, cycling back to the first dimension with the initial weight for student k equaling STUSAWT adj(4) from the previous iteration. The process continued until

convergence was reached.

Once the process converged, the adjustment factor was computed as follows:





where STUSAWTk is the weight for student k after convergence.

The process was done independently for the full sample and for each replicate.




http://nces.ed.gov/nationsreportcard/tdw/weighting/2013/raking_adjustment_factor_calculation_for_the_2013_assessment.aspx

Shape127

NAEP Technical Documentation Website

NAEP Technical Documentation Computation of Replicate Weights for the 2013 Assessment



In addition to the full-sample weight, a set of 62 replicate weights was provided for each student. These replicate weights are used in calculating the sampling variance of estimates obtained from the data, using the jackknife repeated replication method. The method of deriving these weights was aimed at reflecting the features of the sample design appropriately for each sample, so that when the jackknife variance estimation procedure is implemented, approximately unbiased estimates of sampling variance are

obtained. This section gives the specifics for generating the

Defining Variance Strata and Forming Replicates

Computing School-Level Replicate Factors


Computing Student-Level Replicate Factors

Replicate Variance Estimation


replicate weights for the 2013 assessment samples. The theory that underlies the jackknife variance estimators used in NAEP studies is discussed in the section Replicate Variance Estimation.

In general, the process of creating jackknife replicate weights takes place at both the school and student level. The precise implementation differs between those samples that involve the selection of Primary Sampling Units (PSUs) and those where the school is the first stage of sampling. The procedure for this second kind of sample also differed starting in 2011 from all previous NAEP assessments. The change that was implemented permitted the introduction of a finite population correction factor at the school sampling stage, developed by Rizzo and Rust (2011). In assessments prior to 2011, this adjustment factor has always been implicitly assumed equal to 1.0, resulting in some overestimation of the sampling variance.

For each sample, the calculation of replicate weighting factors at the school level was conducted in a series of steps. First, each school was assigned to one of 62 variance estimation strata. Then, a random subset of schools in each variance estimation stratum was assigned a replicate factor of between 0 and 1. Next, the remaining subset of schools in the same variance stratum was assigned a complementary replicate factor greater than 1. All schools in the other variance estimation strata were assigned a replicate factor of exactly 1. This process was repeated for each of the 62 variance estimation strata so that 62 distinct replicate factors were assigned to each school in the sample.

This process was then repeated at the student level. Here, each individual sampled student was assigned to one of 62 variance estimation strata, and 62 replicate factors with values either between 0 and 1, greater than 1, or exactly equal to 1 were assigned to each student.

For example, consider a single hypothetical student. For replicate 37, that student’s student replicate factor might be 0.8, while for the school to which the student belongs, for replicate 37, the school replicate factor might be 1.6. Of course, for a given student, for most replicates, either the student replicate factor, the school replicate factor, or (usually) both, is equal to 1.0.

A replicate weight was calculated for each student, for each of the 62 replicates, using weighting procedures similar to those used for the full-sample weight. Each replicate weight contains the school and student replicate factors described above. By repeating the various weighting procedures on each set of replicates, the impact of these procedures on the sampling variance of an estimate is appropriately reflected in the variance estimate.

Each of the 62 replicate weights for student k in school s in stratum j can be expressed as follows:





where

Shape128 STU_BWTjsk is the student base weight;

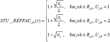
Shape129 Shape130 Shape131 Shape132 Shape133 Shape134 Shape135 SCH_REPFACjs(r) is the school-level replicate factor for replicate r; SCH_NRAFjs(r) is the school-level nonresponse adjustment factor for replicate r; STU_REPFACjsk(r) is the student-level replicate factor for replicate r; STU_NRAFjsk(r) is the student-level nonresponse adjustment factor for replicate r; SCH_TRIMjs is the school-level weight trimming adjustment factor; STU_TRIMjsk is the student-level weight trimming adjustment factor; and STU_RAKEjsk(r) is the student-level raking adjustment factor for replicate r.

Specific school and student nonresponse and student-level raking adjustment factors were calculated separately for each replicate, thus the use of the index (r), and applied to the replicate student base weights. Computing separate nonresponse and raking adjustment factors for each replicate allows resulting variances from the use of the final student replicate weights to reflect components of variance due to these various weight adjustments.

School and student weight trimming adjustments were not replicated, that is, not calculated separately for each replicate. Instead, each replicate used the school and student trimming adjustment factors derived for the full sample. Statistical theory for replicating trimming adjustments under the jackknife approach has not been developed in the literature. Due to the absence of a statistical framework, and since relatively few school and student weights in NAEP require trimming, the weight trimming adjustments were not replicated.




http://nces.ed.gov/nationsreportcard/tdw/weighting/2013/computation_of_replicate_weights_for_the_2013_assessment.aspx

Shape136


NAEP Technical Documentation Defining Variance Strata and Forming Replicates for the 2013 Assessment

In the NAEP 2013 assessment, replicates were formed separately for each sample indicated by grade (4, 8, 12), school type (public, private), and assessment subject (mathematics, reading). To reflect the school-level finite population corrections in the variance estimators for the two-stage samples used for the mathematics and reading assessments, replication was carried out at both the school and student levels.

The first step in forming replicates was to create preliminary variance strata in each primary stratum. This was done by sorting the appropriate sampling unit (school or student) in the order of its selection within the primary stratum and then pair off adjacent sampling units into preliminary variance strata. Sorting sample units by their order of sample selection reflects the implicit stratification and systematic sampling features of the sample design. Within each primary stratum with an even number of sampling units, all of the preliminary variance strata consisted of pairs of sampling units. However, within primary strata with an odd number of sampling units, all but one variance strata consisted of pairs of sampling units, while the last one consisted of three sampling units.

The next step is to form the final variance strata by combining preliminary strata if appropriate. If there were more than 62 preliminary variance strata within a primary stratum, the preliminary variance strata were grouped to form 62 final variance strata. This grouping effectively maximized the distance in the sort order between grouped preliminary variance strata. The first 62 preliminary variance strata, for example, were assigned to 62 different final variance strata in order (1 through 62), with the next 62 preliminary variance strata assigned to final variance strata 1 through 62, so that, for example, preliminary variance stratum 1, preliminary variance stratum 63, preliminary variance stratum 125 (if in fact there were that many), etc., were all assigned to the first final variance stratum.

If, on the other hand, there were fewer than 62 preliminary variance strata within a primary stratum, then the number of final variance strata was set equal to the number of preliminary variance strata. For example, consider a primary stratum with 111 sampled units sorted in their order of selection. The first two units were in the first preliminary variance stratum; the next two units were in the second preliminary variance stratum, and so on, resulting in 54 preliminary variance strata with two sample units each (doublets). The last three sample units were in the 55th preliminary variance stratum (triplet). Since there are no more than 62 preliminary variance strata, these were also the final variance strata.

Within each preliminary variance stratum containing a pair of sampling units, one sampling unit was randomly assigned as the first variance unit and the other as the second variance unit. Within each preliminary variance stratum containing three sampling units, the three first-stage units were randomly assigned variance units 1 through 3.

Reading and Mathematics Assessments

At the school-level for these samples, formation of preliminary variance strata did not pertain to certainty schools, since they are not subject to sampling variability, but only to noncertainty schools. The primary stratum for noncertainty schools was the highest school-level sampling stratum variable listed below, and the order of selection was defined by sort order on the school sampling frame.

Shape137 Trial Urban District Assessment (TUDA) districts, remainder of states (for states with TUDAs), or entire states for the public school samples at grades 4, 8, and 12; and

Shape138 Private school affiliation (Catholic, non-Catholic) for the private school samples at grades 4, 8, and 12.

At the student-level, all students were assigned to variance strata. The primary stratum was school, and the order of selection was defined by session number and position on the administration schedule.

Within each pair of preliminary variance strata, one first-stage unit, designated at random, was assigned as the first variance unit and the other first-stage unit as the second variance unit. Within each triplet preliminary variance stratum, the three schools were randomly assigned variance units 1 through 3.






http://nces.ed.gov/nationsreportcard/tdw/weighting/2013/defining_variance_strata_and_forming_replicates_for_the_2013_assessment.aspx

Shape139


NAEP Technical Documentation Computing School- Level Replicate Factors for the 2013 Assessment

The replicate variance estimation approach for the mathematics and reading assessments involved finite population corrections at the school level. The calculation of school-level replicate factors for these assessments depended upon whether or not a school was selected with certainty. For certainty schools, the school-level replicate factors for all replicates are set to unity – this is true regardless of whether or not the variance replication method uses finite population corrections since certainty schools are not subject to sampling variability. Alternatively, one can view the finite population correction factor for such schools as being equal to zero. Thus, for each certainty school in a given assessment, the school-level replicate factor for each of the 62 replicates (r = 1, ..., 62) was assigned as follows:



where SCH_REPFACjs(r) is the school-level replicate factor for school s in primary stratum j for the r-th replicate.

For noncertainty schools, where preliminary variance strata were formed by grouping schools into pairs or triplets, school-level replicate factors were calculated for each of the 62 replicates based on this grouping. For schools in variance strata comprising pairs of schools, the school-level replicate factors,SCH_REPFACjs(r),r = 1,..., 62, were calculated as follows:





where



Shape141



min(πj1, πj2) is the smallest school probability between the two schools comprising Rjr,

Shape142 Shape143 Rjr is the set of schools within the r-th variance stratum for primary stratum j, and Ujs is the variance unit (1 or 2) for school s in primary stratum j.

For noncertainty schools in preliminary variance strata comprising three schools, the school-level replicate factors SCH_REPFACjs(r), r = 1,..., 62 were calculated as follows:

For school s from primary stratum j, variance stratum r,




while for r' = r + 31 (mod 62):




and for all other r* other than r and r' :



where



Shape144



min(πj1, πj2j3) is the smallest school probability among the three schools comprising Rjr,

Shape145 Shape146 Rjr is the set of schools within the r-th variance stratum for primary stratum j, and Ujs is the variance unit (1, 2, or 3) for school s in primary stratum j.

In primary strata with fewer than 62 variance strata, the replicate weights for the “unused” variance strata (the remaining ones up to 62) for these schools were set equal to the school base weight (so that those replicates contribute nothing to the variance estimate).




http://nces.ed.gov/nationsreportcard/tdw/weighting/2013/computing_school_level_replicate_factors_for_the_2013_assessment_.aspx

Shape147

NAEP Technical Documentation Website

NAEP Technical Documentation Computing Student- Level Replicate Factors for the 2013 Assessment

For the mathematics and reading assessments, which involved school-level finite population corrections, the student- level replication factors were calculated the same way regardless of whether or not the student was in

a certainty school.

For students in student-level variance strata comprising pairs of students, the student-level replicate factors, STU_REPFACjsk(r), r = 1,..., 62, were calculated as follows:




where

Shape148 πs is the probability of selection for school s,

Shape149 Shape150 Rjsr is the set of students within the r-th variance stratum for school s in primary stratum j, and Ujsk is the variance unit (1 or 2) for student k in school s in stratum j.

For students in variance strata comprising three students, the student-level replicate factors STU_REPFACjsk(r), r = 1,..., 62, were calculated as follows:






while for r' = r + 31 (mod 62):




and for all other r* other than r and r' :




where

Shape151 πs is the probability of selection for school s,

Shape152 Shape153 Rjsr is the set of students within the r-th replicate stratum for school s in stratum j, and Ujsk is the variance unit (1, 2, or 3) for student k in school s in stratum j.

Note, for students in certainty schools, where πs = 1, the student replicate factors are 2 and 0 in the case of pairs, and 1.5, 1.5, and 0 in the case of triples.



http://nces.ed.gov/nationsreportcard/tdw/weighting/2013/computing_student_level_replicate_factors_for_the_2013_assessment.aspx

NAEP Technical Documentation Website

NAEP Technical Documentation Replicate Variance Estimation for the 2013 Assessment

Variances for NAEP assessment estimates are computed using the paired jackknife replicate variance procedure. This technique is applicable for common statistics, such as means and ratios, and differences between these for different subgroups, as well as for more complex statistics such as linear or logistic regression coefficients.

In general, the paired jackknife replicate variance procedure involves initially pairing clusters of first-stage sampling units to form H variance strata (h = 1, 2, 3, ...,H) with two units per stratum. The first replicate is formed by assigning, to one unit at random from the first variance stratum, a replicate weighting factor of less than 1.0, while assigning the remaining unit a complementary replicate factor greater than 1.0, and assigning all other units from the other (H - 1) strata a replicate factor of 1.0. This procedure is carried out for each variance stratum resulting in H replicates, each of which provides an estimate of the population total.

In general, this process is repeated for subsequent levels of sampling. In practice, this is not practicable for a design with three or more stages of sampling, and the marginal improvement in precision of the variance estimates would be negligible in all such cases in the NAEP setting. Thus in NAEP, when a two-stage design is used – sampling schools and then students – beginning in 2011 replication is carried out at both stages. (See Rizzo and Rust (2011) for a description of the methodology.) When a three-stage design is used, involving the selection of geographic Primary Sampling Units (PSUs), then schools, and then students, the replication procedure is only carried out at the first stage of sampling (the PSU stage for noncertainty PSUs, and the school stage within certainty PSUs). In this situation, the school and student variance components are correctly estimated, and the overstatement of the between-PSU variance component is relatively very small.

The jackknife estimate of the variance for any given statistic is given by the following formula:




where


Shape154 Shape155 represents the full sample estimate of the given statistic, and represents the corresponding estimate for replicate h.

Each replicate undergoes the same weighting procedure as the full sample so that the jackknife variance estimator reflects the contributions to or reductions in variance resulting from the various weighting adjustments.

The NAEP jackknife variance estimator is based on 62 variance strata resulting in a set of 62 replicate weights assigned to each school and student.

The basic idea of the paired jackknife variance estimator is to create the replicate weights so that use of the jackknife procedure results in an unbiased variance estimator for simple totals and means, which is also reasonably efficient (i.e., has a low variance as a variance estimator). The jackknife variance estimator will then produce a consistent (but not fully unbiased) estimate of variance for (sufficiently smooth) nonlinear functions of total and mean estimates such as ratios, regression coefficients, and so forth (Shao and Tu, 1995).

The development below shows why the NAEP jackknife variance estimator returns an unbiased variance estimator for totals and means, which is the cornerstone to the asymptotic results for nonlinear estimators. See for example Rust (1985). This paper also discusses why this variance estimator is generally efficient (i.e., more reliable than alternative approaches requiring similar computational resources).

The development is done for an estimate of a mean based on a simplified sample design that closely approximates the sample design for first-stage units used in the NAEP studies. The sample design is a stratified random sample with H strata with population weights Wh, stratum sample sizes nh, and stratum

sample means . The population estimator and standard unbiased variance estimator are:



with



The paired jackknife replicate variance estimator assigns one replicate h=1,…, H to each stratum, so that the number of replicates equals H. In NAEP, the replicates correspond generally to pairs and triplets (with the latter only being used if there are an odd number of sample units within a particular primary stratum generating replicate strata). For pairs, the process of generating replicates can be viewed as taking a simple random sample (J) of size nh/2 within the replicate stratum, and assigning an increased weight to the sampled elements, and a decreased weight to the unsampled elements. In certain applications, the increased weight is double the full sample weight, while the decreased weight is in fact equal to zero. In this

simplified case, this assignment reduces to replacing with , the latter being the sample mean of the sampled nh/2 units. Then the replicate estimator corresponding to stratum r is






The r-th term in the sum of squares for is thus:






In stratified random sampling, when a sample of size nr/2 is drawn without replacement from a population of size nr,, the sampling variance is



See for example Cochran (1977), Theorem 5.3, using nr, as the “population size,” nr/2 as the “sample size,” and sr2 as the “population variance” in the given formula. Thus,




Taking the expectation over all of these stratified samples of size nr/2, it is found that




In this sense, the jackknife variance estimator “gives back” the sample variance estimator for means and totals as desired under the theory.

In cases where, rather than doubling the weight of one half of one variance stratum and assigning a zero weight to the other, the weight of one unit is multiplied by a replicate factor of (1+δ), while the other is multiplied by (1- δ), the result is that




In this way, by setting δ equal to the square root of the finite population correction factor, the jackknife variance estimator is able to incorporate a finite population correction factor into the variance estimator.

In practice, variance strata are also grouped to make sure that the number of replicates is not too large (the total number of variance strata is usually 62 for NAEP). The randomization from the original sample distribution guarantees that the sum of squares contributed by each replicate will be close to the target expected value.

For triples, the replicate factors are perturbed to something other than 1.0 for two different replicate factors, rather than just one as in the case of pairs. Again in the simple case where replicate factors that are less than 1 are all set to 0, with the replicate weight factors calculated as follows.

For unit i in variance stratum r





where weight wi is the full sample base weight.



Furthermore, for r' = r + 31 (mod 62):





And for all other values r*, other than r and r´,wi(r*) = 1.


In the case of stratified random sampling, this formula reduces to replacing with for replicate r, where is the sample mean from a “2/3” sample of 2nr/3 units from the nr sample units

in the replicate stratum, and replacing with for replicate r', where is the sample mean from another overlapping “2/3” sample of 2nr/3 units from the nr sample units in the replicate stratum.



The r-th and r´-th replicates can be written as:




From these formulas, expressions for the r-th and r´-th components of the jackknife variance estimator are obtained (ignoring other sums of squares from other grouped components attached to those replicates):




These sums of squares have expectations as follows, using the general formula for sampling variances:



Thus,




as desired again.




http://nces.ed.gov/nationsreportcard/tdw/weighting/2013/replicate_variance_estimation_for_the_2013_assessment.aspx

Shape156

NAEP Technical Documentation Website

NAEP Technical Documentation Quality Control on Weighting Procedures for the 2013 Assessment


Given the complexity of the weighting procedures utilized in NAEP, a range of quality control (QC) checks was conducted throughout the weighting process to identify potential problems with collected student-level demographic data or with specific weighting procedures. The QC processes included

Shape157 Shape158 Shape159 Shape160 checks performed within each step of the weighting process; checks performed across adjacent steps of the weighting process; review of participation, exclusion, and accommodation rates; checking demographic data of individual schools;

Shape161 Shape162 comparisons with 2011 demographic data; and nonresponse bias analyses.

Final Participation, Exclusion, and Accommodation Rates

Nonresponse Bias Analyses

To validate the weighting process, extensive tabulations of various school and student characteristics at different stages of the process were conducted. The school-level characteristics included in the tabulations were minority

enrollment, median income (based on the school ZIP code area), and urban-centric locale. At the student level, the tabulations included race/ethnicity, gender, relative age, students with disability (SD) status, English language learners (ELL) status, and participation status in National School Lunch Program (NSLP).




http://nces.ed.gov/nationsreportcard/tdw/weighting/2013/quality_control_on_weighting_procedures_for_the_2013_assessment.aspx

Shape163

NAEP Technical Documentation Website

NAEP Technical Documentation Final Participation, Exclusion, and Accommodation Rates for the 2013 Assessment


Final participation, exclusion, and accommodation rates are presented in quality control tables for each grade and subject by geographic domain and school type. School-level

participation rates have been calculated according to National Center for Education Statistics (NCES) standards as they have been for previous assessments.

School-level participation rates were below 85 percent for private schools at all three grades (4, 8, and 12). Student-level participation rates were also below 85 percent for grade 12 public school student sample overall and in specific states: Connecticut, Florida, Illinois, Iowa, Massachusetts, New Hampshire, New Jersey, and West Virginia. As required by NCES standards, nonresponse bias analyses were conducted on each reporting group falling below the 85 percent participation threshold.

Grade 4 Mathematics

Grade 4 Reading

Grade 8 Mathematics

Grade 8 Reading


Grade 12 Mathematics

Grade 12 Reading

Shape165 Shape166

National all1

8,590

97.27

90.32

209,800

1.41

94.57

13.44


National public

8,060

99.69

99.54

202,700

1.52

94.49

14.22


NAEP Technical Documentation Website

NAEP Technical Documentation Participation, Exclusion, and Accommodation Rates for Grade 4 Mathematics for the 2013 Assessment

The following table displays the school- and student-level response, exclusion, and accommodation rates for the grade 4 mathematics assessment by school type and jurisdiction. Various weights were used in the calculation of the rates, as indicated in the column headings of the table.

The participation rates reflect the participation of the original sample schools only and do not reflect any effect of substitution. The rates weighted by the base weight and enrollment show the approximate proportion of the student population in the jurisdiction that is represented by the responding schools in the sample. The rates weighted by just the base weight show the proportion of the school population that is represented by the responding schools in the sample. These rates differ because schools differ in size.


Participation, exclusion, and accommodation rates, grade 4 mathematics assessment, by school type and jurisdiction: 2013




School

School






participation

participation





rates

rates




Number

(percent)

(percent)



Weighted

of

before

before



student

schools

substitution

substitution

Number

Weighted

participation

in

(weighted

(weighted

of

percent

rates

Weighted

School type

original

by base

by base

students

of

(percent)

percent of

and

sample,

weight and

weight

sampled,

students

after

students

jurisdiction

rounded

enrollment)

only)

rounded

excluded

makeups

accommodated

All

8,760

97.30

90.45

214,900

1.40

94.57

13.55



Northeast all



1,480



95.63



85.22



34,500



1.29



93.85



15.68

Midwest all

2,190

97.27

88.80

47,300

1.32

94.84

12.87

South all

2,740

98.20

93.44

73,600

1.37

94.71

14.38

West all

2,120

96.86

91.04

51,800

1.62

94.57

10.98



Alabama



120



100.00



100.00



3,200



1.10



94.82



5.15

Alaska

200

99.48

96.56

3,100

1.14

93.18

21.85

Arizona

120

100.00

100.00

3,400

1.20

95.07

12.97

Arkansas

120

100.00

100.00

3,400

1.24

94.66

15.16

California

300

99.17

98.75

9,000

1.93

94.79

8.78

Colorado

120

100.00

100.00

3,400

1.15

92.34

12.11

Connecticut

120

97.22

97.25

3,200

1.36

93.85

15.52

Delaware

100

100.00

100.00

3,400

2.10

94.36

13.58

District of Columbia

140

100.00

100.00

2,300

1.37

95.09

17.59

Florida

240

100.00

100.00

6,900

1.84

94.11

20.24

Georgia

170

100.00

100.00

5,300

1.43

94.18

11.22

Hawaii

120

100.00

100.00

3,500

1.25

94.70

10.64

Idaho

130

100.00

100.00

3,500

1.29

95.24

9.58

Illinois

200

97.98

98.40

5,100

1.00

94.40

15.44

Indiana

120

100.00

100.00

3,300

1.52

95.18

17.03

Iowa

140

100.00

100.00

3,100

0.70

95.16

14.50

Kansas

150

100.00

100.00

3,400

1.62

94.79

15.16

Kentucky

160

100.00

100.00

4,700

1.45

94.67

11.30

Louisiana

130

100.00

100.00

3,300

1.08

94.49

18.38

Maine

160

100.00

100.00

3,400

2.11

93.95

17.44

Maryland

170

100.00

100.00

4,700

0.99

94.22

17.30

Massachusetts

190

100.00

100.00

5,200

2.03

93.74

17.18

Michigan

190

100.00

100.00

4,600

1.96

94.14

11.02

Minnesota

130

100.00

100.00

3,500

1.37

94.85

10.62

Mississippi

120

100.00

100.00

3,300

0.76

95.44

6.73

Missouri

130

100.00

100.00

3,600

1.41

95.42

11.20

Montana

200

99.85

98.28

3,400

1.68

93.92

8.56

Nebraska

170

100.00

100.00

3,500

1.72

95.37

14.37

Nevada

120

100.00

100.00

3,500

1.41

95.75

22.90

New Hampshire

130

100.00

100.00

3,400

1.22

93.74

14.78

New Jersey

120

100.00

100.00

3,300

1.17

94.85

16.62

New Mexico

150

99.69

99.48

4,200

1.22

95.06

16.90

New York

160

98.84

96.79

4,500

1.23

92.27

20.02

North Carolina

160

100.00

100.00

4,800

1.24

94.19

14.17

North Dakota

270

99.86

99.19

3,700

2.56

95.57

9.78

Ohio

210

100.00

100.00

4,700

1.33

94.29

13.52

Oklahoma

140

100.00

100.00

3,600

1.85

94.35

13.95

Oregon

130

100.00

100.00

3,500

2.12

94.18

15.23

Pennsylvania

170

100.00

100.00

4,500

1.64

94.30

12.95

Rhode Island

120

100.00

100.00

3,400

1.12

94.98

15.17

South Carolina

120

100.00

100.00

3,200

1.08

96.08

11.87

South Dakota

190

100.00

100.00

3,400

1.42

95.36

10.56

Tennessee

120

100.00

100.00

3,400

1.34

94.21

13.54

Texas

310

100.00

100.00

9,200

1.65

95.36

17.92

Utah

120

99.08

99.32

3,600

1.25

94.79

12.66

Vermont

220

100.00

100.00

3,000

1.37

95.04

15.72

Virginia

110

100.00

100.00

3,300

1.51

94.35

13.07

Washington

120

99.09

99.35

3,600

2.17

93.50

14.12

West Virginia

150

100.00

100.00

3,200

1.71

94.77

10.03

Wisconsin

190

100.00

100.00

4,400

1.79

95.42

16.21

Wyoming

200

100.00

100.00

3,500

1.01

94.65

12.76

DoDEA2

120

99.23

98.08

3,700

1.66

95.05

12.20

Trial Urban (TUDA) Districts and Other Jurisdictions

Albuquerque

50

100.00

100.00

1,700

1.15

94.71

20.47

Atlanta

60

100.00

100.00

2,000

0.98

95.42

9.76

Austin

60

100.00

100.00

1,700

2.04

93.69

30.80

Baltimore City

70

100.00

100.00

1,600

1.59

94.32

19.27

Boston

80

100.00

100.00

2,000

3.69

93.72

19.59

Charlotte

50

100.00

100.00

1,700

1.19

94.18

12.81

Chicago

100

100.00

100.00

2,500

1.07

94.85

19.30

Cleveland

90

100.00

100.00

1,500

4.26

93.62

22.29

Dallas

50

100.00

100.00

1,700

2.33

95.79

35.42

Detroit

70

100.00

100.00

1,300

4.88

90.92

14.80

Fresno

50

100.00

100.00

1,800

0.90

93.58

7.51

Hillsborough

60

100.00

100.00

1,700

1.17

95.74

23.30

Houston

80

100.00

100.00

2,600

1.88

96.62

27.25


Jefferson County, KY

50 100.00 100.00 1,700 1.74 94.66 11.61

Los Angeles 80 100.00 100.00 2,500 1.96 95.80 9.83

Miami 90 100.00 100.00 2,300 2.35 95.07 28.05

Milwaukee 70 100.00 100.00 1,500 3.40 94.68 26.55

New York City

80 100.00 100.00 2,500 1.33 91.74 27.56

Philadelphia 60 100.00 100.00 1,600 3.45 94.71 15.82

San Diego 50 100.00 100.00 1,500 1.48 95.18 11.80

Shape169

National private

410

71.19

64.52

3,300

0.08

95.61

4.38


District of Columbia (TUDA)

90 100.00 100.00 1,500 1.97 95.52 18.06

Catholic 130 88.65 89.70 1,700 0.06 95.60 4.95

Non-Catholic private

280 56.94 52.97 1,600 0.11 95.62 3.92


Puerto Rico

170

100.00

100.00

5,100

0.24

94.47

27.19

  1. Includes national public, national private, and Bureau of Indian Education schools located in the United States and all Department of Defense Education Activity schools, but not schools in Puerto Rico.

  2. Department of Defense Education Activity schools.

NOTE: Numbers of schools are rounded to nearest ten, and numbers of students are rounded to nearest hundred. Detail may not sum to totals because of rounding.

SOURCE: U.S. Department of Education, Institute of Education Sciences, National Center for Education Statistics, National Assessment of Educational Progress (NAEP), 2013 Mathematics Assessment.



http://nces.ed.gov/nationsreportcard/tdw/weighting/2013/participation_exclusion_and_accommodation_rates_for_grade_4_mathematics_for_the_2013_assessment.aspx

Shape170







Shape171 Shape172

National all1

8,590

97.27

90.32

216,400

2.52

94.78

12.17


National public

8,060

99.69

99.54

209,100

2.69

94.70

12.87


NAEP Technical Documentation Website

NAEP Technical Documentation Participation, Exclusion, and Accommodation Rates for Grade 4 Reading for the 2013 Assessment

The following table displays the school- and student-level response, exclusion, and accommodation rates for the grade 4 reading assessment by school type and jurisdiction. Various weights were used in the calculation of the rates, as indicated in the column headings of the table.

The participation rates reflect the participation of the original sample schools only and do not reflect any effect of substitution. The rates weighted by the base weight and enrollment show the approximate proportion of the student population in the jurisdiction that is represented by the responding schools in the sample. The rates weighted by just the base weight show the proportion of the school population that is represented by the responding schools in the sample. These rates differ because schools differ in size.


Participation, exclusion, and accommodation rates, grade 4 r eading assessment, by school type and jurisdiction: 2013





School

School






participation

participation





rates

rates




Number

(percent)

(percent)



Weighted

of

before

before



student

schools

substitution

substitution

Number

Weighted

participation

in

(weighted

(weighted

of

percent

rates

Weighted

School type

original

by base

by base

students

of

(percent)

percent of

and

sample,

weight and

weight

sampled,

students

after

students

jurisdiction

rounded

enrollment)

only)

rounded

excluded

makeups

accommodated

All

8,590

97.27

90.32

216,400

2.52

94.78

12.17



Northeast all



1,480



95.63



85.22



35,600



1.72



93.97



15.30

Midwest all

2,190

97.27

88.80

48,700

2.01

95.04

12.22

South all

2,740

98.20

93.44

76,000

3.39

95.00

12.25

West all

2,120

96.86

91.04

53,500

2.13

94.71

9.92



Alabama



120



100.00



100.00



3,400



1.14



95.49



5.39

Alaska

200

99.48

96.56

3,300

1.45

93.65

20.65

Arizona

120

100.00

100.00

3,500

1.08

95.46

13.24

Arkansas

120

100.00

100.00

3,600

1.11

95.16

15.34

California

300

99.17

98.75

9,300

2.50

94.88

7.73

Colorado

120

100.00

100.00

3,500

1.52

93.66

12.61

Connecticut

120

97.22

97.25

3,400

1.58

94.29

15.33

Delaware

100

100.00

100.00

3,500

4.70

94.34

10.38

District of Columbia

140

100.00

100.00

2,400

1.65

94.46

17.41

Florida

240

100.00

100.00

7,100

2.96

93.98

19.02

Georgia

170

100.00

100.00

5,400

4.90

95.34

8.13

Hawaii

120

100.00

100.00

3,600

1.80

93.97

10.48

Idaho

130

100.00

100.00

3,600

1.49

94.99

9.32

Illinois

200

97.98

98.40

5,200

1.24

95.13

14.76

Indiana

120

100.00

100.00

3,500

2.43

94.40

16.31

Iowa

140

100.00

100.00

3,200

1.08

95.11

14.42

Kansas

150

100.00

100.00

3,500

1.82

95.07

13.41

Kentucky

160

100.00

100.00

4,800

2.99

94.97

9.74

Louisiana

130

100.00

100.00

3,400

1.16

94.73

18.61

Maine

160

100.00

100.00

3,500

1.69

93.65

17.87

Maryland

170

100.00

100.00

4,900

12.86

94.40

5.70

Massachusetts

190

100.00

100.00

5,300

2.66

93.77

15.53

Michigan

190

100.00

100.00

4,800

3.81

94.64

9.66

Minnesota

130

100.00

100.00

3,600

2.71

94.93

9.61

Mississippi

120

100.00

100.00

3,400

0.53

94.99

6.85

Missouri

130

100.00

100.00

3,700

1.23

95.26

11.16

Montana

200

99.85

98.28

3,500

2.86

94.40

7.33

Nebraska

170

100.00

100.00

3,600

3.57

95.83

14.26

Nevada

120

100.00

100.00

3,700

1.50

95.10

22.73

New Hampshire

130

100.00

100.00

3,500

2.56

93.45

13.48

New Jersey

120

100.00

100.00

3,400

1.72

94.87

15.27

New Mexico

150

99.69

99.48

4,300

1.02

94.55

15.04

New York

160

98.84

96.79

4,600

1.35

93.06

20.15

North Carolina

160

100.00

100.00

5,000

1.80

94.88

13.06

North Dakota

270

99.86

99.19

3,800

4.06

96.28

8.73

Ohio

210

100.00

100.00

4,800

2.61

94.58

12.80

Oklahoma

140

100.00

100.00

3,700

1.72

94.58

14.35

Oregon

130

100.00

100.00

3,700

2.49

93.98

12.20

Pennsylvania

170

100.00

100.00

4,600

2.29

94.42

12.53

Rhode Island

120

100.00

100.00

3,500

1.34

94.78

14.43

South Carolina

120

100.00

100.00

3,300

1.73

94.64

9.74

South Dakota

190

100.00

100.00

3,500

2.22

95.69

9.26

Tennessee

120

100.00

100.00

3,500

3.10

95.34

12.29

Texas

310

100.00

100.00

9,500

4.90

95.50

14.40

Utah

120

99.08

99.32

3,700

3.05

93.71

10.29

Vermont

220

100.00

100.00

3,100

1.17

95.05

15.65

Virginia

110

100.00

100.00

3,400

1.54

94.93

12.21

Washington

120

99.09

99.35

3,700

2.81

93.71

12.45

West Virginia

150

100.00

100.00

3,300

1.78

93.62

8.89

Wisconsin

190

100.00

100.00

4,500

1.61

94.97

16.63

Wyoming

200

100.00

100.00

3,600

1.25

94.38

13.00

DoDEA2

120

99.23

98.08

3,800

5.95

95.48

7.39

Trial Urban (TUDA) Districts and Other Jurisdictions

Albuquerque

50

100.00

100.00

1,800

0.74

93.43

17.51

Atlanta

60

100.00

100.00

2,000

1.12

95.96

9.39

Austin

60

100.00

100.00

1,700

3.90

94.12

27.06

Baltimore City

70

100.00

100.00

1,700

15.85

93.62

4.33

Boston

80

100.00

100.00

2,000

4.33

94.03

17.64

Charlotte

50

100.00

100.00

1,700

0.90

94.49

11.72

Chicago

100

100.00

100.00

2,600

1.45

94.58

18.56

Cleveland

90

100.00

100.00

1,500

4.70

94.08

22.22

Dallas

50

100.00

100.00

1,700

17.11

96.08

24.30

Detroit

70

100.00

100.00

1,300

5.51

92.09

13.44

Fresno

50

100.00

100.00

1,800

2.36

94.94

6.04

Hillsborough

60

100.00

100.00

1,800

1.07

94.92

23.00

Houston

80

100.00

100.00

2,700

6.41

96.63

23.90

Jefferson County, KY

50

100.00

100.00

1,800

5.28

95.03

7.56

Los Angeles

80

100.00

100.00

2,500

2.10

94.63

10.75

Miami

90

100.00

100.00

2,400

4.51

95.37

26.36

Milwaukee

70

100.00

100.00

1,500

4.08

93.65

25.71

New York City

80

100.00

100.00

2,500

1.62

92.44

27.13


Philadelphia

60

100.00

100.00

1,600

3.83

94.61

15.31

San Diego

50

100.00

100.00

1,600

2.32

94.74

10.45

District of Columbia (TUDA)

90

100.00

100.00

1,600

2.26

94.50

17.21



Catholic



130



88.65



89.70



1,700



0.23



95.75



3.84

Non-Catholic private

280

56.94

52.97

1,600

0.79

95.96

4.22

  1. Includes national public, national private, and Bureau of Indian Education schools located in the United States and all Department of Defense Education Activity schools, but not schools in Puerto Rico.

  2. Department of Defense Education Activity schools.

NOTE: Numbers of schools are rounded to nearest ten, and numbers of students are rounded to nearest hundred. Detail may not sum to totals because of rounding.

SOURCE: U.S. Department of Education, Institute of Education Sciences, National Center for Education Statistics, National Assessment of Educational Progress (NAEP), 2013 Reading Assessment.

Shape174

National private

410

71.19

64.52

3,400

0.53

95.85

4.05




http://nces.ed.gov/nationsreportcard/tdw/weighting/2013/participation_exclusion_and_accommodation_rates_for_grade_4_reading_for_the_2013_assessment.aspx

Shape175




















Shape177 Shape178

National all1

7,240

96.94

84.59

195,600

1.48

93.15

11.79


National public

6,760

99.48

99.61

189,400

1.59

93.02

12.25


NAEP Technical Documentation Website

NAEP Technical Documentation Participation, Exclusion, and Accommodation Rates for Grade 8 Mathematics for the 2013 Assessment

The following table displays the school- and student-level response, exclusion, and accommodation rates for the grade 8 mathematics assessment by school type and jurisdiction. Various weights were used in the calculation of the rates, as indicated in the column headings of the table.

The participation rates reflect the participation of the original sample schools only and do not reflect any effect of substitution. The rates weighted by the base weight and enrollment show the approximate proportion of the student population in the jurisdiction that is represented by the responding schools in the sample. The rates weighted by just the base weight show the proportion of the school population that is represented by the responding schools in the sample. These rates differ because schools differ in size.


Participation, exclusion, and accommodation rates, grade 8 mathematics assessment, by school type and jurisdiction: 2013




School

School






participation

participation





rates

rates




Number

(percent)

(percent)



Weighted

of

before

before



student

schools

substitution

substitution

Number

Weighted

participation

in

(weighted

(weighted

of

percent

rates

Weighted

School type

original

by base

by base

students

of

(percent)

percent of

and

sample,

weight and

weight

sampled,

students

after

students

jurisdiction

rounded

enrollment)

only)

rounded

excluded

makeups

accommodated

All

7,370

96.97

84.74

201,500

1.47

93.14

11.88



Northeast all



1,160



93.53



75.06



32,700



1.60



92.00



15.85

Midwest all

1,920

97.62

85.21

44,100

1.42

93.69

11.78

South all

2,380

97.75

86.70

68,800

1.51

93.24

11.59

West all

1,720

97.42

89.08

48,000

1.41

93.28

9.25



Alabama



110



100.00



100.00



3,000



1.04



94.23



5.14

Alaska

150

99.91

98.79

3,000

1.08

91.72

18.75

Arizona

120

99.03

99.16

3,200

1.30

93.42

10.71

Arkansas

110

100.00

100.00

3,200

1.93

95.00

13.92

California

260

100.00

100.00

8,400

1.49

93.59

7.91

Colorado

120

100.00

100.00

3,100

1.12

93.47

11.50

Connecticut

110

98.00

97.87

3,100

2.05

92.44

13.92

Delaware

70

100.00

100.00

3,200

1.31

90.65

14.90

District of Columbia

90

100.00

100.00

2,100

0.96

91.26

20.71

Florida

230

100.00

100.00

6,400

1.70

91.06

15.32

Georgia

130

100.00

100.00

4,800

1.55

93.38

9.82

Hawaii

60

100.00

100.00

3,200

1.67

90.26

12.28

Idaho

100

100.00

100.00

3,100

1.06

94.15

8.42

Illinois

190

100.00

100.00

4,800

1.01

94.48

13.83

Indiana

110

97.06

96.65

3,000

1.64

92.49

13.95

Iowa

120

100.00

100.00

3,100

0.77

93.74

13.28

Kansas

130

100.00

100.00

3,300

1.67

93.94

11.23

Kentucky

140

99.04

99.21

4,300

2.08

94.54

10.09

Louisiana

150

100.00

100.00

3,200

1.06

94.14

14.26

Maine

120

100.00

100.00

2,900

1.33

92.79

15.99

Maryland

160

100.00

100.00

4,400

1.74

92.08

13.33

Massachusetts

140

100.00

100.00

4,800

2.01

91.98

16.11

Michigan

170

100.00

100.00

4,200

2.46

92.93

10.55

Minnesota

130

98.99

99.67

2,900

1.70

91.58

9.16

Mississippi

110

100.00

100.00

3,200

0.80

93.80

6.51

Missouri

130

100.00

100.00

3,100

1.28

94.25

10.57

Montana

150

99.80

98.82

3,200

1.44

92.28

9.20

Nebraska

130

100.00

100.00

3,100

1.85

93.41

12.02

Nevada

90

100.00

100.00

3,300

1.04

92.80

11.91

New Hampshire

90

100.00

100.00

3,200

1.06

91.60

15.99

New Jersey

110

100.00

100.00

3,100

1.64

92.26

16.38

New Mexico

120

99.68

99.02

4,000

1.57

93.07

12.00

New York

160

93.08

95.81

4,300

1.90

91.15

19.38

North Carolina

140

100.00

100.00

4,500

1.29

92.95

13.74

North Dakota

190

99.92

99.44

3,700

2.93

94.98

11.44

Ohio

200

100.00

100.00

4,500

1.51

93.07

13.54

Oklahoma

130

100.00

100.00

3,100

1.63

92.97

14.09

Oregon

130

100.00

100.00

3,100

1.47

92.91

10.88

Pennsylvania

160

100.00

100.00

4,300

1.70

92.17

14.66

Rhode Island

60

100.00

100.00

3,200

1.11

93.93

15.92

South Carolina

110

100.00

100.00

3,200

1.33

94.19

9.86

South Dakota

150

100.00

100.00

3,200

1.30

94.44

8.66

Tennessee

110

100.00

100.00

3,200

1.77

92.81

9.81

Texas

230

100.00

100.00

8,800

1.92

93.82

12.13

Utah

120

100.00

100.00

3,300

1.53

92.07

10.15

Vermont

120

100.00

100.00

3,000

0.83

93.91

15.36

Virginia

110

100.00

100.00

3,200

1.05

93.39

12.18

Washington

120

100.00

100.00

3,100

2.03

90.87

11.47

West Virginia

110

100.00

100.00

3,200

1.69

92.62

9.02

Wisconsin

170

100.00

100.00

4,300

1.51

94.25

14.73

Wyoming

100

100.00

100.00

3,300

1.50

93.66

12.51

DoDEA2

70

99.40

96.83

2,600

1.15

94.47

9.23

Trial Urban (TUDA) Districts and Other Jurisdictions

Albuquerque

30

100.00

100.00

1,400

1.53

90.76

14.44

Atlanta

30

100.00

100.00

1,600

0.72

91.57

11.10

Austin

30

100.00

100.00

1,600

1.88

90.97

20.60

Baltimore City

60

100.00

100.00

1,300

1.70

89.54

19.73

Boston

40

100.00

100.00

1,800

2.55

91.61

20.88

Charlotte

40

100.00

100.00

1,500

1.29

90.94

10.11

Chicago

100

100.00

100.00

2,300

1.28

94.80

17.19

Cleveland

90

100.00

100.00

1,500

2.62

91.57

28.48

Dallas

40

100.00

100.00

1,600

2.44

93.81

18.35

Detroit

50

100.00

100.00

1,100

4.29

91.58

15.07

Fresno

20

100.00

100.00

1,400

1.74

92.52

7.06

Hillsborough

50

100.00

100.00

1,600

1.35

93.78

20.46

Houston

50

100.00

100.00

2,400

2.21

92.37

14.67

Jefferson County, KY

40

100.00

100.00

1,600

1.65

93.37

12.72

Los Angeles

70

100.00

100.00

2,200

1.54

94.39

10.83

Miami

80

100.00

100.00

2,300

2.25

92.63

18.78

Milwaukee

60

100.00

100.00

1,500

4.10

91.60

25.55


New York City

90 99.00 97.58 2,400 1.72 91.78 26.10

Philadelphia 50 100.00 100.00 1,400 3.74 92.67 20.69

San Diego 30 100.00 100.00 1,300 2.32 92.60 11.81

Shape181

National private

400

69.63

60.45

3,400

0.26

94.74

6.54


District of Columbia (TUDA)

40 100.00 100.00 1,100 1.69 90.15 22.20

Catholic 130 87.18 84.76 1,800 0.26 95.73 5.50

Non-Catholic private

270 53.51 48.11 1,600 0.26 93.50 7.51


Puerto Rico

130

100.00

100.00

5,900

0.03

92.75

23.05

  1. Includes national public, national private, and Bureau of Indian Education schools located in the United States and all Department of Defense Education Activity schools, but not schools in Puerto Rico.

  2. Department of Defense Education Activity schools.

NOTE: Numbers of schools are rounded to nearest ten, and numbers of students are rounded to nearest hundred. Detail may not sum to totals because of rounding.

SOURCE: U.S. Department of Education, Institute of Education Sciences, National Center for Education Statistics, National Assessment of Educational Progress (NAEP), 2013 Mathematics Assessment.



http://nces.ed.gov/nationsreportcard/tdw/weighting/2013/participation_exclusion_and_accommodation_rates_for_grade_8_mathematics_for_the_2013_assessment.aspx

Shape182




















Shape183 Shape184

National all1

7,240

96.94

84.59

199,100

2.15

93.11

10.76


National public

6,760

99.48

99.61

192,900

2.32

92.93

11.16


NAEP Technical Documentation Website

NAEP Technical Documentation Participation, Exclusion, and Accommodation Rates for Grade 8 Reading for the 2013 Assessment

The following table displays the school- and student-level response, exclusion, and accommodation rates for the grade 8 reading assessment by school type and jurisdiction. Various weights were used in the calculation of the rates, as indicated in the column headings of the table.

The participation rates reflect the participation of the original sample schools only and do not reflect any effect of substitution. The rates weighted by the base weight and enrollment show the approximate proportion of the student population in the jurisdiction that is represented by the responding schools in the sample. The rates weighted by just the base weight show the proportion of the school population that is represented by the responding schools in the sample. These rates differ because schools differ in size.


Participation, exclusion, and accommodation rates, grade 8 r eading assessment, by school type and jurisdiction: 2013





School

School






participation

participation





rates

rates




Number

(percent)

(percent)



Weighted

of

before

before



student

schools

substitution

substitution

Number

Weighted

participation

in

(weighted

(weighted

of

percent

rates

Weighted

School type

original

by base

by base

students

of

(percent)

percent of

and

sample,

weight and

weight

sampled,

students

after

students

jurisdiction

rounded

enrollment)

only)

rounded

excluded

makeups

accommodated

All

7,240

96.94

84.59

199,100

2.15

93.11

10.76



Northeast all



1,160



93.53



75.06



33,300



1.55



91.80



15.53

Midwest all

1,920

97.62

85.21

45,100

1.93

93.48

11.08

South all

2,380

97.75

86.70

69,900

2.60

93.39

9.99

West all

1,720

97.42

89.08

48,900

2.08

93.21

8.32



Alabama



110



100.00



100.00



3,100



1.14



94.26



4.83

Alaska

150

99.91

98.79

3,100

1.40

91.91

18.39

Arizona

120

99.03

99.16

3,300

1.47

93.67

9.67

Arkansas

110

100.00

100.00

3,200

1.96

93.21

13.36

California

260

100.00

100.00

8,500

2.52

93.42

6.74

Colorado

120

100.00

100.00

3,200

1.15

93.46

10.89

Connecticut

110

98.00

97.87

3,100

2.13

91.38

13.88

Delaware

70

100.00

100.00

3,200

3.49

91.59

12.23

District of Columbia

90

100.00

100.00

2,100

1.82

91.33

19.57

Florida

230

100.00

100.00

6,500

1.86

91.72

15.15

Georgia

130

100.00

100.00

4,900

3.80

93.67

8.18

Hawaii

60

100.00

100.00

3,300

1.93

90.58

12.33

Idaho

100

100.00

100.00

3,200

1.61

93.64

7.76

Illinois

190

100.00

100.00

4,900

1.44

93.76

12.94

Indiana

110

97.06

96.65

3,100

1.90

93.12

13.75

Iowa

120

100.00

100.00

3,100

1.27

93.44

12.16

Kansas

130

100.00

100.00

3,300

1.72

93.42

11.72

Kentucky

140

99.04

99.21

4,300

3.28

93.93

8.47

Louisiana

150

100.00

100.00

3,300

1.24

93.78

14.15

Maine

120

100.00

100.00

3,000

1.55

92.34

15.16

Maryland

160

100.00

100.00

4,400

9.41

93.77

5.45

Massachusetts

140

100.00

100.00

4,900

2.15

91.82

15.04

Michigan

170

100.00

100.00

4,300

3.53

93.66

9.68

Minnesota

130

98.99

99.67

3,000

2.33

91.30

8.43

Mississippi

110

100.00

100.00

3,200

0.70

93.72

6.55

Missouri

130

100.00

100.00

3,100

1.02

92.55

10.62

Montana

150

99.80

98.82

3,200

2.29

91.61

7.51

Nebraska

130

100.00

100.00

3,200

2.99

92.32

10.14

Nevada

90

100.00

100.00

3,400

1.00

92.19

10.91

New Hampshire

90

100.00

100.00

3,200

2.93

91.46

14.28

New Jersey

110

100.00

100.00

3,200

2.64

92.01

14.78

New Mexico

120

99.68

99.02

4,000

1.70

93.39

10.00

New York

160

93.08

95.81

4,400

0.96

90.46

20.03

North Carolina

140

100.00

100.00

4,600

1.72

92.51

12.29

North Dakota

190

99.92

99.44

3,800

4.30

94.07

9.52

Ohio

200

100.00

100.00

4,600

2.22

93.08

13.08

Oklahoma

130

100.00

100.00

3,200

1.39

93.43

12.42

Oregon

130

100.00

100.00

3,200

1.45

92.62

11.30

Pennsylvania

160

100.00

100.00

4,300

1.78

91.94

14.51

Rhode Island

60

100.00

100.00

3,300

1.37

92.96

15.18

South Carolina

110

100.00

100.00

3,200

1.88

94.03

7.48

South Dakota

150

100.00

100.00

3,300

2.95

95.01

6.02

Tennessee

110

100.00

100.00

3,200

3.13

93.54

7.75

Texas

230

100.00

100.00

8,900

3.51

93.78

10.05

Utah

120

100.00

100.00

3,400

3.05

93.00

8.36

Vermont

120

100.00

100.00

3,100

0.92

92.93

15.08

Virginia

110

100.00

100.00

3,300

1.40

92.97

10.56

Washington

120

100.00

100.00

3,200

2.46

91.22

9.78

West Virginia

110

100.00

100.00

3,200

1.82

93.10

7.60

Wisconsin

170

100.00

100.00

4,400

1.61

94.11

14.45

Wyoming

100

100.00

100.00

3,400

1.14

93.15

12.27

DoDEA2

70

99.40

96.83

2,600

3.84

94.13

7.11

Trial Urban (TUDA) Districts and Other Jurisdictions

Albuquerque

30

100.00

100.00

1,400

2.04

93.46

11.79

Atlanta

30

100.00

100.00

1,700

1.02

92.20

10.98

Austin

30

100.00

100.00

1,600

3.35

88.54

18.36

Baltimore City

60

100.00

100.00

1,300

16.39

89.73

5.14

Boston

40

100.00

100.00

1,800

3.41

93.05

18.94

Charlotte

40

100.00

100.00

1,500

1.68

92.20

9.90

Chicago

100

100.00

100.00

2,300

1.60

94.72

16.76

Cleveland

90

100.00

100.00

1,500

3.52

91.90

27.75

Dallas

40

100.00

100.00

1,600

3.51

93.98

15.20

Detroit

50

100.00

100.00

1,100

5.74

91.37

12.53

Fresno

20

100.00

100.00

1,500

3.10

93.27

5.86

Hillsborough

50

100.00

100.00

1,600

1.94

91.85

19.74

Houston

50

100.00

100.00

2,400

3.80

93.58

12.29

Jefferson County, KY

40

100.00

100.00

1,600

4.30

94.71

9.49

Los Angeles

70

100.00

100.00

2,300

2.70

94.30

9.97

Miami

80

100.00

100.00

2,400

2.88

94.21

18.45

Milwaukee

60

100.00

100.00

1,500

4.06

93.15

25.08

New York City

90

99.00

97.58

2,400

1.46

91.17

26.00


Philadelphia

50

100.00

100.00

1,400

3.79

91.35

20.91

San Diego

30

100.00

100.00

1,300

2.58

93.78

10.58

District of Columbia (TUDA)

40

100.00

100.00

1,100

2.53

90.18

22.13



Catholic



130



87.18



84.76



1,900



0.21



96.07



4.96

Non-Catholic private

270

53.51

48.11

1,600

0.39

94.67

7.56

  1. Includes national public, national private, and Bureau of Indian Education schools located in the United States and all Department of Defense Education Activity schools, but not schools in Puerto Rico.

  2. Department of Defense Education Activity schools.

NOTE: Numbers of schools are rounded to nearest ten, and numbers of students are rounded to nearest hundred. Detail may not sum to totals because of rounding.

SOURCE: U.S. Department of Education, Institute of Education Sciences, National Center for Education Statistics, National Assessment of Educational Progress (NAEP), 2013 Reading Assessment.

Shape186

National private

400

69.63

60.45

3,500

0.30

95.45

6.32




http://nces.ed.gov/nationsreportcard/tdw/weighting/2013/participation_exclusion_and_accommodation_rates_for_grade_8_reading_for_the_2013_assessment.aspx

Shape187


NAEP Technical Documentation Website

NAEP Technical Documentation Participation, Exclusion, and Accommodation Rates for Grade 12 Mathematics for the 2013 Assessment

The following table displays the school- and student-level response, exclusion, and accommodation rates for the grade 12 mathematics assessment. Various weights were used in the calculation of the rates, as indicated in the column headings of the table.

The participation rates reflect the participation of the original sample schools only and do not reflect any effect of substitution. The rates weighted by the base weight and enrollment show the approximate proportion of the student population in the jurisdiction that is represented by the responding schools in the sample. The rates weighted by just the base weight show the proportion of the school population that is represented by the responding schools in the sample. These rates differ because schools differ in size.


Shape188 Shape189

National all1

2,200

89.51

82.66

62,200

2.16

84.33

8.65


National public

2,030

92.95

93.31

60,400

2.31

84.17

8.77


Participation, exclusion, and accommodation rates, grade 12 mathematics assessment, by school type and geographic r egion: 2013





School






School

participation





participation

rates



Weighted

Number

rates (percent)

(percent)



student

of

before

before



participation

schools

substitution

substitution

Number

Weighted

rates

Weighted

in

(weighted by

(weighted by

of

percentage

(percent)

percentage of

School type and geographic

original

base weight

base weight

students

of students

after

students

region

sample

and enrollment)

only)

sampled

excluded

makeups

accommodated

All

2,200

89.51

82.66

62,200

2.16

84.33

8.65


Northeast all


510


89.05


81.63


16,200


2.29


81.79


11.95

Midwest all

650

87.14

83.20

16,600

1.65

83.87

8.61

South all

710

89.42

85.99

20,300

2.31

86.52

7.98

West all

330

92.21

77.24

9,100

2.32

83.37

7.15


Arkansas


100


100.00


100.00


2,900


2.78


92.09


8.61

Connecticut

110

98.93

99.45

3,200

1.76

81.22

8.71

Florida

120

99.05

99.30

3,300

3.21

77.25

12.67

Idaho

100

100.00

100.00

3,000

1.65

89.17

6.72

Illinois

130

90.38

93.98

3,300

1.85

85.16

9.79

Iowa

120

100.00

100.00

3,300

1.13

83.05

10.78

Massachusetts

110

99.04

99.45

3,200

2.21

81.71

11.13

Michigan

140

100.00

100.00

4,000

1.90

86.94

8.78

New Hampshire

80

100.00

100.00

4,100

1.61

76.64

11.22

New Jersey

110

98.14

98.57

3,300

1.89

84.10

14.28

South Dakota

140

99.74

99.07

3,100

1.51

87.48

5.78

Tennessee

130

100.00

100.00

4,100

2.51

88.15

7.84

West Virginia

90

100.00

100.00

3,300

2.00

83.68

7.01

Remaining jurisdictions2

570

91.16

90.91

16,200

2.26

84.41

10.55


Catholic


40


68.06


79.95


1,000


0.83


85.53


5.46

Non-Catholic private

120

38.52

50.25

800

0.42

87.96

9.28

  1. Includes national public, national private, Bureau of Indian Education, and Department of Defense Education Activity schools located in the United States.

  2. Includes national public schools not part of the state assessment.

NOTE: Numbers of schools are rounded to nearest ten, and numbers of students are rounded to nearest hundred. Detail may not sum to totals because of rounding.

SOURCE: U.S. Department of Education, Institute of Education Sciences, National Center for Education Statistics, National Assessment of Educational Progress (NAEP), 2013 Mathematics Assessment.



Shape190

National private

160

53.34

55.43

1,800

0.63

86.51

7.32


http://nces.ed.gov/nationsreportcard/tdw/weighting/2013/participation_exclusion_and_accommodation_rates_for_grade_12_mathematics_for_the_2013_assessment.aspx

Shape191

NAEP Technical Documentation Website

NAEP Technical Documentation Participation, Exclusion, and Accommodation Rates for Grade 12 Reading for the 2013 Assessment

The following table displays the school- and student-level response, exclusion, and accommodation rates for the grade 12 reading assessment. Various weights were used in the calculation of the rates, as indicated in the column headings of the table.

The participation rates reflect the participation of the original sample schools only and do not reflect any effect of substitution. The rates weighted by the base weight and enrollment show the approximate proportion of the student population in the jurisdiction that is represented by the responding schools in the sample. The rates weighted by just the base weight show the proportion of the school population that is represented by the responding schools in the sample. These rates differ because schools differ in size.


Shape192

National public

2,030

92.95

93.31

60,400

2.56

83.77

8.73


Participation, exclusion, and accommodation rates, grade 12 r eading assessment, by school type and geographic r egion: 2013




School




Weighted


Number

participation rates

School



student

of

(percent) before

participation rates



participation

schools

substitution

(percent) before

Number

Weighted

rates

Weighted

in

(weighted by base

substitution

of

percentage

(percent)

percentage of

School type and

original

weight and

(weighted by

students

of students

after

students

geographic region

sample

enrollment)

base weight only)

sampled

excluded

makeups

accommodated

All

2,200

89.51

82.66

62,300

2.41

83.89

8.55

National all1

2,200

89.51

82.66

62,300

2.41

83.89

8.55

Northeast all

510

89.05

81.63

16,500

2.16

80.91

12.89

Midwest all

650

87.14

83.20

16,700

2.05

84.05

8.75

South all

710

89.42

85.99

20,000

2.87

85.51

7.18

West all

330

92.21

77.24

9,000

2.24

83.58

7.14


Arkansas


100


100.00


100.00


3,000


2.56


90.21


8.24

Connecticut

110

98.93

99.45

3,400

2.34

79.77

8.70

Florida

120

99.05

99.30

3,300

3.55

77.34

12.14

Idaho

100

100.00

100.00

3,200

1.66

88.68

6.42

Illinois

130

90.38

93.98

3,400

2.29

83.72

9.92

Iowa

120

100.00

100.00

3,500

1.51

84.26

10.62

Massachusetts

110

99.04

99.45

3,200

1.87

79.84

11.31

Michigan

140

100.00

100.00

3,900

4.01

87.21

6.17

New Hampshire

80

100.00

100.00

4,300

2.55

76.91

10.25

New Jersey

110

98.14

98.57

3,300

1.80

84.67

14.78

South Dakota

140

99.74

99.07

3,300

1.60

86.17

5.16

Tennessee

130

100.00

100.00

3,900

2.88

88.82

7.13

West Virginia

90

100.00

100.00

3,400

2.37

84.28

6.89

Remaining jurisdictions2

570

91.16

90.91

15,200

2.77

83.98

10.05


Catholic


40


68.06


79.95


1,100


0.92


84.67


4.01

Non-Catholic

120

38.52

50.25

800

0.75

86.75

9.41

  1. Includes national public, national private, Bureau of Indian Education, and Department of Defense Education Activity schools located in the United States.

  2. Includes national public schools not part of the state assessment.

NOTE: Numbers of schools are rounded to nearest ten, and numbers of students are rounded to nearest hundred. Detail may not sum to totals because of rounding.

SOURCE: U.S. Department of Education, Institute of Education Sciences, National Center for Education Statistics, National Assessment of Educational Progress (NAEP), 2013 Reading Assessment.



Shape194

National private

160

53.34

55.43

1,900

0.84

85.52

6.67


http://nces.ed.gov/nationsreportcard/tdw/weighting/2013/participation_exclusion_and_accommodation_rates_for_grade_12_reading_for_the_2013_assessment.aspx

Shape195

NAEP Technical Documentation Website

NAEP Technical Documentation Nonresponse Bias Analyses for the 2013 Assessment

NCES statistical standards call for a nonresponse bias analysis to be conducted for a sample with a response rate below 85 percent at any stage of sampling. Weighted school response rates for the 2013 assessment indicated a need for school nonresponse bias analyses for private school samples in grades 4, 8, and 12 (operational subjects). Student nonresponse bias analyses were necessary for the grade 12 public school student sample overall and in specific states, for both reading and mathematics: Connecticut, Florida, Iowa, Massachusetts, New Hampshire, and West Virginia. Additionally, a student nonresponse bias analysis was required for the grade 12 public school student sample in Illinois based on the weighted response rate for reading, while such an analysis was required for grade 12 public school student sample in New Jersey based on the weighted response rate for mathematics. Thus, three separate school-level analyses and nine separate student-level analyses were conducted.

The procedures and results from these analyses are summarized briefly below. The analyses conducted consider only certain characteristics of schools and students. They do not directly consider the effects of the nonresponse on student achievement, the primary focus of NAEP. Thus, these analyses cannot be conclusive of either the existence or absence of nonresponse bias for student achievement. For more details, please see the NAEP 2013 NRBA report (657.56 KB).

Each school-level analysis was conducted in three parts. The first part of the analysis looked

for potential nonresponse bias that was introduced through school nonresponse. The second part of the analysis examined the remaining potential for nonresponse bias after accounting for the mitigating effects of substitution. The third part of the analysis examined the remaining potential for nonresponse bias after accounting for the mitigating effects of both school substitution and school-level nonresponse weight adjustments. The characteristics examined were Census region, reporting subgroup (private school type), urban-centric locale, size of school (categorical), and race/ethnicity percentages (mean).

Based on the school characteristics available, for the private school samples at grade 4, there does not appear to be evidence of substantial potential bias resulting from school substitution or school nonresponse. However, the analyses suggest that a potential for nonresponse bias remains for the grade 8 and 12 private school samples. For grade 8, this result is evidently related to the fact that, among non- Catholic schools, larger schools were less likely to respond. Thus, when making adjustments to address the underrepresentation of non-Catholic schools among the respondents, the result is to over

represent smaller schools at the expense of larger ones. The limited school sample sizes involved means that it is not possible to make adjustments that account fully for all school characteristics. For grade 12, the analyses suggested potential bias for percentage Asian and percentage Two or more races. Please see the full report for more details.

Each student-level analysis was conducted in two parts. The first part of the analysis examined the potential for nonresponse bias that was introduced through student nonresponse. The second part of the analysis examined the potential for bias after accounting for the effects of nonresponse weight adjustments. The characteristics examined were gender, race/ethnicity, relative age, National School Lunch Program eligibility, student disability (SD) status, and English language learner (ELL) status.

Based on the student characteristics available, there does not appear to be evidence of substantial potential bias resulting from student nonresponse. Please see the full report for more details.




http://nces.ed.gov/nationsreportcard/tdw/weighting/2013/nonresponse_bias_analyses_for_the_2013_assessment.aspx

Shape196



Appendix C


NATIONAL CENTER FOR EDUCATION STATISTICS NATIONAL ASSESSMENT OF EDUCATIONAL PROGRESS



National Assessment of Educational Progress (NAEP)

2022





Appendix C

2022 Sampling Memo (New)






OMB# 1850-0928 v.25








August 2021


.




Date:

July 23, 2021

Memo: 2022- 1.2A/1.2B/1.2D/1.2E/1.2L

To:

William Ward, NCES

Chris Averett


Ed Kulick, ETS

Kavemuii Murangi


David Freund, ETS

Dwight Brock


Amy Dresher, ETS

Yiting Long


Cathy White, Pearson

Jing Kang


Lauren Byrne

Sabrina Zhang


Lisa Rodriguez

Amy Lin


Rick Rogers

Natalia Weil


Rob Dymowski

Véronique Lieber


William Wall

Sipeng Wang


Greg Binzer

Sarah Shore

From:

Leslie Wallace, John Burke, and Lloyd Hicks

Reviewer:

Keith Rust


Subject:

Sample Design for 2022 NAEP - FINAL

Changes

This version drops the LTT age 17 samples and adds LTT age 9 samples. The

from April

overlap control plans for private schools have changed. Finally, Tables 3 and 4

2021

are revised to reflect the actual sample results.

DRAFT:



  1. Introduction


For 2022, the NAEP assessment involves the following components:


    1. National assessments in reading and mathematics at grades 4 and 8;


    1. State-by-state and Trial Urban District Assessment (TUDA) assessments in reading and mathematics for public schools at grades 4 and 8;




\\westat.com\dfs\NAEPLIB\2022\Memos\School Sampling\Alpha - Public, Grades 4 & 8\2022-m01v02a.docx


    1. An assessment of mathematics in Puerto Rico for public schools at grades 4 and 8;


    1. National assessments in US history and civics at grade 8;


    1. National Long-Term Trend (LTT) assessments in reading and mathematics at age 9.


Below is a summary list of the features of the 2022 sample design.


  1. The alpha1 samples for grades 4 and 8 public, and the delta samples for private schools at grades 4 and 8, will be used for the operational assessments in reading and mathematics.


  1. The alpha samples will be selected to have maximum overlap with the NAEP 2021 sigma samples because the sigma samples were the basis for the 2021 School and Teacher Questionnaire Study and the 2021 Monthly School Survey. The plan is retain the schools surveyed in 2021 for the 2022 assessment, to the extent possible while ensuring an efficient representative sample for 2022.


  1. The beta public school sample and the epsilon private school sample at grade 8 will be used for the national US history and civics assessments.


  1. As in past NAEP studies, each Trial Urban District Assessment (TUDA) sample will form part of the corresponding state sample, and each state sample will form part of the national sample. There are twenty-seven Trial Urban District Assessment (TUDA) participants. These are the same districts that participated in 2019. The population of schools for a TUDA district consists of those public schools, charter and non-charter, for which the district is responsible for academic accountability.


  1. Reading, mathematics, history, and civics in the alpha, delta, beta, and epsilon samples will be digitally-based assessments (DBA) and administered using tablets. Reading and mathematics in the LTT samples will be paper-based assessments (PBA).


  1. The school and student sample sizes for the alpha samples in each state will be considerably smaller than in 2019 and past assessments involving state-level reporting. This can be seen by comparing the figures in Tables 1, 3, and 4, with comparable tables from previous assessments. This also means that there will be fewer schools with multiple assessment sessions assigned. In the alpha sample at grade 4, we anticipate approximately 94 schools with a double-size student sample, and 17 schools with a sample more than double the usual student sample size. This compares with comparable counts of 234 and 38 schools in 2019. At grade 8, we anticipate approximately 346 schools with a double-size student sample, and 143 schools with a sample more than double the usual student sample size. This compares with comparable counts of 588 and 336 schools in 2019.


  1. There will be no samples in U.S. territories other than for Puerto Rico at grades 4 and 8.




1 The terminology of alpha, beta, delta, epsilon, sigma, etc. is defined in Section III.


  1. As in 2019, the Department of Defense Schools (DoDEA) are expected to be reported as a single jurisdiction.


  1. There is no National Indian Education Study. This means that less extensive sampling of Bureau of Indian Education (BIE) schools in the alpha samples is required than in 2019 and other years when NIES has been conducted. To ensure sound results for American Indian and Alaska Native (AIAN) students in reading and mathematics at the national level, at grades 4 and 8 BIE students will be sampled at the same rate as students in Oklahoma, the state with the highest proportion AIAN population.


  1. The LTT age 9 samples will be selected to ensure the inclusion of the 2020 LTT age 9 sample schools (that are still on the 2022 frame).


  1. The sampling rates of private schools at grades 4 and 8 will be similar to those of 2019. Response rates permitting, this will allow separate reporting for reading and mathematics for Catholic and non-Catholic schools at grades 4 and 8, but no further breakdowns by private school type. The sampling rates of LTT private schools at age 9 will be similar to those that were planned for 2020. Because private schools are not oversampled and the sample sizes are small, the LTT design does not support separate reporting for Catholic and non-Catholic private schools. Ten percent of the LTT sampled students are associated with private schools. This roughly represents a proportional sample, as about 10% of the population attends private schools.


  1. The sample sizes of assessed students for these various components are shown in Table 1 (which also shows the approximate numbers of participating schools).


  1. In the beta and public LTT samples, there will be moderate oversampling of schools with moderate to high proportions of Black, Hispanic, and AIAN students.


  1. In the public LTT sample only, there will be moderate oversampling of Black, Hispanic, and AIAN students in schools that were not oversampled at the school level.



Table 1. Target sample sizes of assessed students, and expected number of participating schools, for 2022 NAEP


Shape203 Spiral1 Jurisdictions Students




Grade 4


Spiral

Indic. States2


Urban districts

Public school students

Private school students



Total

Nat’l/state reading DS 52 27 114,500 2,350 116,850

Nat’l/state math DS 52 27 114,500 2,350 116,850

Puerto Rico DP 1 3,000 3,000

Total - alpha 232,000 232,000

Total - delta 4,700 4,700

Typical max. no. students/school 50 50

Average assessed students/school 39 20

Total schools - alpha, delta 6,022 235 6,257

Total number of students grade 4 232,000 4,700 236,700

Total number of schools grade 4 6,022 235 6,257


Grade 8

Nat’l/state reading DS 52 27 114,500 2,350 116,850

Nat’l/state math DS 52 27 114,500 2,350 116,850

Puerto Rico DP 1 3,000 3,000

Total - alpha 232,000 232,000

Total - delta 4,700 4,700

Typical max. no. students/school 50 50

Average assessed students/school 39 22

Total schools - alpha, delta 5,875 214 6,089


US history HC 7,200 800 8,000

Civics HC 7,200 800 8,000

Total - beta 14,400 14,400

Total - epsilon 1,600 1,600

Typical max. no. students/school 50 50

Average assessed students/school 40 22

Total schools - beta, epsilon 360 73 433

Total number of students grade 8 246,400 6,300 252,700

Total number of schools grade 8 6,235 287 6,522


Table 1. Target sample sizes of assessed students, and expected number of participating schools, for 2022 NAEP (Continued)




Spiral1

Jurisdictions

Students




Total


Spiral Indic.



States2


Urban districts

Public school students

Private school students

Age 9







LTT reading

LT



7,200

800

8,000

LTT math

LT



7,200

800

8,000

Total - LTT public




14,400


14,400

Total – LTT private





1,600

1,600

Typical max. no. students/school




50

50


Average assessed students/school




42

15


Total schools – LTT




343

107

450








Total number of students age 9




14,400

1,600

16,000

Total number of schools age 9




343

107

450








GRAND TOTAL STUDENTS




492,800

12,600

505,400

GRAND TOTAL SCHOOLS




12,600

629

13,229


1 See Table 2 for definitions of DS, HC, DP and LT.

2 Includes BIE, District of Columbia (DC), DoDEA, and Puerto Rico schools.




  1. Assessment Types


The assessment spiral types are shown in Table 2. Two different spirals will be used at grade 4, three different spirals will be used at grade 8, and one spiral will be used at age 9. Session IDs contain six characters, traditionally. The first two characters identify the assessment “type” (subjects and type of spiral in a general way). Grade or age is contained in the second pair of characters, and the session sequential number (within schools) in the last two characters. For example, session DS0401 denotes the first grade 4 reading and mathematics operational DBA assessment in a given school.



Table 2. NAEP 2022 assessment types and IDs



ID


Type


Subjects

Grades (or age)


Schools


Comments


DS


Operational


Reading, math


4, 8

Public, Private

All schools in the alpha (except Puerto Rico) and delta samples.

HC

Operational

US history, civics

8

Public, Private

All schools in the beta and epsilon samples.

DP

Operational

Mathematics

4, 8

Public

Puerto Rico alpha samples.

LT

Operational

Reading, math

(9)

Public, Private

LTT samples.



  1. Sample Types and Sizes


In similar fashion to past years, we have identified five different types of school samples: alpha, beta, delta, epsilon, and LTT. These distinguish sets of schools that will be conducting distinct portions of the assessment.



  1. Alpha Samples at Grades 4 and 8


These are public school samples for grades 4 and 8. They will be used for the operational state-by- state assessments in reading and mathematics, and contribute to the national samples for these subjects as well. There will be alpha samples for each state, DC, DoDEA, BIE, and Puerto Rico. These samples will be selected to have maximum overlap with the NAEP 2021 sigma samples, which were the basis of the school and teacher questionnaire (STQ) study and the monthly school survey (MSS) samples carried out in 2021.


The details of the target student sample sizes for the alpha samples are as follows:


  1. At each grade, the assessed student target sample size is 3,500 per state. The goal in each state (before considering the contribution of TUDA districts) is to roughly assess 1,750 students for math and 1,750 students for reading. The initial target sample size of students after considering attrition is 4,100 for grade 4 and 4,200 for grade 8.


  1. There will be samples for twenty-seven TUDA districts. For the six large TUDA districts (New York, Los Angeles, Chicago, Miami-Dade, Clark County, and Houston) the assessed student target sample sizes are three-quarters the size of a state sample (2,625). The target student sample size after considering attrition is 3,075 for grade 4 and 3,150 for grade 8.


  1. For the remaining 21 TUDA districts, the assessed student target sample sizes are half the size of a state sample (1,750). The target student sample size after inflation to account for attrition is 2,050 for grade 4 and 2,100 for grade 8.


  1. Note that, above, there is a conflict between sample size requirements at the state level, and the TUDA district level. This will be resolved as in previous years: the districts will have the target samples indicated in B and C, and reflected in Table 3. For the states that contain one or more of these districts, the target sample size indicated in A (and shown in Table 3) will be used to determine a school sampling rate for the state, which will be applied to the balance of the state outside the TUDA district(s). Thus the target student sample sizes, shown in Table 3, for states that contain a TUDA district, are only ‘design targets’, and are smaller than the final total sample size for the state, but larger than the sample for the balance of the state, exclusive of its TUDA districts.


  1. In Puerto Rico, the target sample size is 3,600 per grade (grades 4 and 8), with the goal of assessing 3,000 students.


As in past state-by-state assessments, schools with fewer than 20 students in the grade in question will be sampled at a moderately lower rate than other schools (at least half, and often higher, depending upon the size of the school). This is in implicit recognition of the greater cost and burden associated with surveying these schools.


Table 3 shows the target student sample sizes, and the approximate counts of schools to be selected in the alpha samples, along with the school and student frame counts, by state and TUDA districts for grades 4 and 8. The table also identifies the jurisdictions where we take all schools and where we take all students.


Table 4 consolidates the target student (and resulting school) sample size numbers, to show the total target sample sizes in each state, combining the TUDA targets with those for the balance of the state.


Table 3. Grade 4 and 8 school and student frame counts, expected school sample sizes, and initial target student sample sizes for the 2022 state-by-state and TUDA district assessments (Alpha samples)







Jurisdiction

Grade 4

Grade 8




Schools in frame




Schools in sample




Students in frame

Overall target student sample size





Schools in frame




Schools in sample




Students in frame


Overall target student sample size


Alabama

689

86

56,232

4,100


436

86

56,217

4,200


Alaska

346

132

9,155

4,100


266

105

9,202

4,200


Arizona

1,230

91

86,152

4,194

830

92

88,080

4,308

Arkansas

474

86

37,099

4,100


304

86

37,124

4,200


Bureau Of Indian Education

136

9

3,066

225


110

6

2,742

225


California

6,135

225

454,342

4,100


3,096

87

466,048

4,200


Colorado

1,099

123

66,131

4,100


614

88

68,739

4,200


Connecticut

559

85

37,280

4,100


289

85

39,376

4,200


Delaware

117

78

10,511

4,100


68

49

11,041

4,200


District Of Columbia

129

90

6,607

4,100


76

76

5,637

4,200

*

DoDEA Schools

89

89

5,708

5,708

**

60

60

4,671

4,671

**

Florida

2,290

211

215,654

4,100


1,302

88

219,984

4,200


Georgia

1,252

119

130,599

4,100


583

85

138,315

4,200


Hawaii

208

87

14,325

4,100


84

53

13,911

4,200


Idaho

393

94

23,634

4,100


219

86

24,793

4,200


Illinois

2,221

145

139,349

4,100


1,598

91

148,461

4,200


Indiana

1,033

88

77,755

4,100


490

85

80,844

4,200


Iowa

614

91

36,402

4,100


357

88

38,428

4,200


Kansas

695

96

35,714

4,100


392

93

37,025

4,200


Kentucky

724

115

50,397

4,100


431

90

52,426

4,200


Louisiana

739

87

53,725

4,100


499

89

53,361

4,200


Maine

309

107

13,041

4,100


198

91

13,472

4,200


Maryland

892

121

68,713

4,100


371

86

67,807

4,200


Massachusetts

951

128

68,723

4,100


492

85

72,234

4,200


Michigan

1,677

132

104,633

4,100


1,102

90

110,949

4,200


Minnesota

990

89

65,135

4,100


730

95

67,317

4,200


Mississippi

407

86

35,543

4,100


278

85

36,803

4,200


Missouri

1,163

97

67,268

4,100


712

95

70,194

4,200



Table 3. Grade 4 and 8 school and student frame counts, expected school sample sizes, and initial target student sample sizes for the 2022 state-by-state and TUDA district assessments (Alpha samples) (Continued)







Jurisdiction

Grade 4

Grade 8




Schools in frame




Schools in sample




Students in frame

Overall target student sample size





Schools in frame




Schools in sample




Students in frame


Overall target student sample size


Montana

394

127

11,721

4,100


277

103

11,939

4,200


Nebraska

511

103

23,867

4,100


290

95

23,444

4,200


Nevada

434

94

37,167

4,100


194

82

38,808

4,200


New Hampshire

269

100

12,854

4,100


151

79

13,626

4,200


New Jersey

1,362

88

96,698

4,100


789

87

100,973

4,200


New Mexico

438

113

24,591

4,100


236

89

25,397

4,200


New York

2,520

120

194,631

4,100


1,547

87

197,329

4,200


North Carolina

1,506

158

118,068

4,100


784

87

122,342

4,200


North Dakota

264

118

9,116

4,100


180

88

8,823

4,200


Ohio

1,667

139

125,413

4,100


1,061

88

130,259

4,200


Oklahoma

840

96

51,807

4,100


588

91

52,202

4,200


Oregon

754

89

43,807

4,100


419

92

45,433

4,200


Pennsylvania

1,543

121

127,950

4,100


889

85

133,614

4,200


Puerto Rico

531

149

20,203

3,600


345

145

22,853

3,600


Rhode Island

166

86

10,460

4,100


63

63

10,922

4,200

*

South Carolina

656

85

58,707

4,100


318

85

59,887

4,200


South Dakota

314

120

10,725

4,100


252

98

11,013

4,200


Tennessee

1,025

120

76,174

4,100


613

88

76,937

4,200


Texas

4,614

264

399,382

4,100


2,359

86

415,166

4,200


Utah

650

86

51,190

4,100


275

87

53,345

4,200


Vermont

208

132

5,916

4,100


116

87

5,867

4,200


Virginia

1,110

84

96,163

4,100


383

84

99,765

4,200


Washington

1,256

89

84,888

4,100


631

89

86,202

4,200


West Virginia

387

99

19,055

4,100


180

86

19,653

4,200


Wisconsin

1,081

133

59,391

4,100


647

90

61,906

4,200


Wyoming

187

102

7,286

4,100


91

62

7,664

4,200



Table 3. Grade 4 and 8 school and student frame counts, expected school sample sizes, and initial target student sample sizes for the 2022 state-by-state and TUDA district assessments (Alpha samples) (Continued)







Jurisdiction

Grade 4

Grade 8




Schools in frame




Schools in sample




Students in frame

Overall target student sample size





Schools in frame




Schools in sample




Students in frame


Overall target student sample size


Albuquerque

102

43

6,704

2,050


46

33

6,493

2,100


Atlanta

56

39

4,443

2,050


26

26

3,914

2,100

*

Austin

81

42

6,112

2,050


21

21

5,558

2,100

*

Baltimore City

116

45

6,420

2,050


88

46

5,373

2,100


Boston

70

47

3,621

2,050


46

46

3,676

2,200

*

Charlotte

111

41

11,430

2,050


45

33

11,436

2,100


Chicago

459

70

26,029

3,075


454

70

26,680

3,150


Clark County, NV

237

62

23,890

3,075


76

54

25,352

3,150


Cleveland

80

53

3,265

2,050


78

54

3,179

2,100


Dallas

148

41

11,497

2,050


41

41

10,336

2,100

*

Denver

110

44

6,823

2,050


62

40

6,571

2,100


Detroit

72

44

4,164

2,050


59

44

3,362

2,100


Duval County, FL

124

42

10,577

2,050


60

35

9,784

2,100


Fresno

69

41

5,869

2,050


19

19

5,195

2,100

*

Fort Worth

85

42

6,196

2,050


33

33

6,049

2,100

*

Guilford County, NC

73

43

5,440

2,050


29

29

5,497

2,100

*

Hillsborough County, FL

189

42

17,620

2,050


100

41

16,814

2,100


Houston

176

62

16,509

3,075


60

44

13,143

3,150


Jefferson County, KY

99

42

7,443

2,050


41

25

7,425

2,100


Los Angeles

497

64

38,919

3,075


126

62

33,124

3,150


Miami

287

63

25,525

3,075


190

66

26,991

3,150


Milwaukee

112

47

5,563

2,050


79

44

4,964

2,100


New York City

820

64

67,351

3,075


512

64

66,309

3,150


Philadelphia

147

43

10,490

2,050


120

41

9,339

2,100


San Diego

121

44

8,247

2,050


38

38

7,036

2,100

*

Shelby County, TN

119

44

8,885

2,050


62

36

7,965

2,100


District of Columbia PS

79

45

4,034

2,050


32

32

3,013

2,100

*

Counts for states do not reflect the oversampling for their constituent TUDA districts.


Target student sample sizes reflect sample sizes prior to attrition due to exclusion, ineligibility, and nonresponse.

The Arizona targets reflect the oversampling of high American Indian/Alaska Native schools (so that we get exactly 4 of these schools in sample).

* identifies jurisdictions where all schools (but not all students) for the given grade are included in the NAEP sample. The decision to include all schools in Boston at grade 8 results in a slightly larger overall target student sample size there (2,200 instead of 2,100).

** identifies jurisdictions where all students for the given grade are included in the NAEP sample.


Table 4. Total sample sizes, combining state and TUDA samples







Jurisdiction

Grade 4

Grade 8




Schools in frame




Schools in sample




Students in frame

Overall target student sample size





Schools in frame




Schools in sample




Students in frame

Overall target student sample size


Alabama

689

86

56,232

4,100


436

86

56,217

4,200


Alaska

346

132

9,155

4,100


266

105

9,202

4,200


Arizona

1,230

91

86,152

4,194

830

92

88,080

4,308

Arkansas

474

86

37,099

4,100


304

86

37,124

4,200


Bureau Of Indian Education

136

9

3,066

225


110

6

2,742

225


California

6,135

225

454,342

10,769


3,096

197

466,048

11,108


Colorado

1,099

123

66,131

5,739


614

120

68,739

5,904


Connecticut

559

85

37,280

4,100


289

85

39,376

4,200


Delaware

117

78

10,511

4,100


68

49

11,041

4,200


District Of Columbia

129

90

6,607

4,100


76

76

5,637

4,200

*

DoDEA Schools

89

89

5,708

5,708

**

60

60

4,671

4,671

**

Florida

2,290

211

215,654

10,253


1,302

209

219,984

10,554


Georgia

1,252

119

130,599

6,010


583

108

138,315

6,182


Hawaii

208

87

14,325

4,100


84

53

13,911

4,200


Idaho

393

94

23,634

4,100


219

86

24,793

4,200


Illinois

2,221

145

139,349

6,410


1,598

144

148,461

6,546


Indiana

1,033

88

77,755

4,100


490

85

80,844

4,200


Iowa

614

91

36,402

4,100


357

88

38,428

4,200


Kansas

695

96

35,714

4,100


392

93

37,025

4,200


Kentucky

724

115

50,397

5,549


431

103

52,426

5,693


Louisiana

739

87

53,725

4,100


499

89

53,361

4,200


Maine

309

107

13,041

4,100


198

91

13,472

4,200


Maryland

892

121

68,713

5,749


371

125

67,807

5,984


Massachusetts

951

128

68,723

5,935


492

126

72,234

6,190


Michigan

1,677

132

104,633

5,981


1,102

131

110,949

6,173


Minnesota

990

89

65,135

4,100


730

95

67,317

4,200


Mississippi

407

86

35,543

4,100


278

85

36,803

4,200


Missouri

1,163

97

67,268

4,100


712

95

70,194

4,200


Montana

394

127

11,721

4,100


277

103

11,939

4,200



Table 4. Total sample sizes, combining state and TUDA samples (Continued)







Jurisdiction

Grade 4

Grade 8




Schools in frame




Schools in sample




Students in frame

Overall target student sample size





Schools in frame




Schools in sample




Students in frame

Overall target student sample size


Nebraska

511

103

23,867

4,100


290

95

23,444

4,200


Nevada

434

94

37,167

4,556


194

86

38,808

4,662


New Hampshire

269

100

12,854

4,100


151

79

13,626

4,200


New Jersey

1,362

88

96,698

4,100


789

87

100,973

4,200


New Mexico

438

113

24,591

5,000


236

100

25,397

5,171


New York

2,520

120

194,631

5,762


1,547

123

197,329

5,938


North Carolina

1,506

158

118,068

7,606


784

137

122,342

7,802


North Dakota

264

118

9,116

4,100


180

88

8,823

4,200


Ohio

1,667

139

125,413

6,039


1,061

139

130,259

6,194


Oklahoma

840

96

51,807

4,100


588

91

52,202

4,200


Oregon

754

89

43,807

4,100


419

92

45,433

4,200


Pennsylvania

1,543

121

127,950

5,807


889

120

133,614

6,019


Puerto Rico

531

149

20,203

3,600


345

145

22,853

3,600


Rhode Island

166

86

10,460

4,100


63

63

10,922

4,200

*

South Carolina

656

85

58,707

4,100


318

85

59,887

4,200


South Dakota

314

120

10,725

4,100


252

98

11,013

4,200


Tennessee

1,025

120

76,174

5,693


613

115

76,937

5,834


Texas

4,614

264

399,382

12,909


2,359

218

415,166

13,302


Utah

650

86

51,190

4,100


275

87

53,345

4,200


Vermont

208

132

5,916

4,100


116

87

5,867

4,200


Virginia

1,110

84

96,163

4,100


383

84

99,765

4,200


Washington

1,256

89

84,888

4,100


631

89

86,202

4,200


West Virginia

387

99

19,055

4,100


180

86

19,653

4,200


Wisconsin

1,081

133

59,391

5,744


647

127

61,906

5,970


Wyoming

187

102

7,286

4,100


91

62

7,664

4,200


Total

52,248

6,005

3,750,123

266,436


29,665

5,453

3,870,570

272,431


Sample sizes for each state reflect the samples in the TUDA districts within the state.

The Arizona target student sample sizes reflect the oversampling of high American Indian/Alaska Native schools (so that we get exactly 4 of these schools in sample).

* identifies jurisdictions where all schools (but not all students) for the given grade are included in the NAEP sample.


** identifies jurisdictions where all students for the given grade are included in the NAEP sample.

Stratification


Each state and grade will be stratified separately, but using a common approach in all cases. TUDA districts will be separated from the balance of their state, and each part stratified separately. The first level of stratification will be based on urban-centric type of location. This variable has 12 levels (some of which may not be present in a given state or TUDA district), and these will be collapsed so that each of the resulting location categories contains at least 10 percent of the student population (13 percent for large TUDA districts and 20 percent for small TUDA districts).


Within each of the resulting location categories, schools will be assigned a minority enrollment status. This is based on the two race/ethnic groups that are the second and third most prevalent within the location category. If these groups are both low in percentage terms, no minority classification will be used. Otherwise three (or occasionally four) equal-sized groups (generally high, medium, and low minority) will be formed based on the distribution across schools of the two minority groups.


Within the resulting location and minority group classes (of which there are likely to be from two to twenty-three, depending upon the jurisdiction), schools will be sorted by a measure derived from school level results from the most recent available state achievement tests at the relevant grade. In general, mathematics test results will be used, but where these are not available, reading results will be used. In the few states that do not have math or reading tests at grades 4 and 8 (or where we are unable to match the results to the NAEP school frame), instead of achievement data, schools will be sorted using a measure of socio-economic status. This is the median household income of the 5-digit ZIP Code area where the school is located, based on the 2019 ACS (5-year) data. For BIE and DoDEA schools neither achievement data nor income data are available, and so grade enrollment is used in these cases.


Once the schools are sorted in a serpentine fashion by location class, minority enrollment class, and achievement data (or household income/grade enrollment), a systematic sample of schools will be selected using a random start. Schools will be sampled with probability proportional to size and sampling will employ a controlled selection method that maximizes overlap with the NAEP 2021 sigma samples. The exact details of this process are described in the individual sampling specification memos.

  1. Beta Sample


The beta sample comprises the national public school sample at grade 8 that will be used for the national US history and civics assessments. The sample will be nationally representative, selected to have minimal overlap with the alpha sample schools at the same grade. The number of students targeted for selection per school will be 50.


In order to increase the likelihood that the results for AIAN students can be reported for these samples, we will oversample high-AIAN public schools. That is, a public school with more than 5 AIAN students and greater than 5 percent AIAN enrollment will be given four times the chance of selection of a public school of the same size with a lower AIAN percentage. For all other schools, whenever there are more than 10 Black or Hispanic students enrolled and the combined Black and Hispanic enrollment exceeds 15 percent, the school will be given twice the chance of selection of a public school of the same size with a lower percentage of these two groups. This approach is effective in increasing the sample sizes of AIAN, Black, and Hispanic students without inducing undesirably large design effects on the sample, either overall, or for particular subgroups.


Stratification


The beta samples will have an implicit stratification, using a hierarchy of stratifiers and a serpentine sort. The highest level of the hierarchy is high/low AIAN status. The second stratifier is Census division (10 categories: the usual 9 plus California as a separate category). Some of the Census divisions within the high AIAN stratum will be collapsed with neighboring Census divisions (this will occur if the expected school sample size within the cell is less than 4.0). The next stratifier in the hierarchy is type of location, which has twelve categories. Within the high AIAN stratum, the cells will likely be too small to further stratify by type of location. Within the low AIAN stratum, many of the type of location strata nested within Census divisions will be collapsed with neighboring type of location cells (this will occur if the expected school sample size within the cell is less than 4.0). These geographic strata will be subdivided into high/low Black and Hispanic substrata. If the expected initial sample size in a Black/Hispanic substratum is less than 8.0, it will be left as is. If the expected sample size is greater than or equal to 8.0, then it will be subdivided into up to four substrata (two for expected sample size up to but less than 12.0, three for expected sample size up to but less than 16.0, and four for expected sample size greater than or equal to 16.0). For the high Black/Hispanic substrata, the subdivision will be by percentage Black and Hispanic. For the low Black/Hispanic substrata, the subdivision will be by state or groups of contiguous states. Within these substrata, the

schools are to be sorted by school type (public, BIE, DoDEA) and median household income from the 2019 5-year ACS (using a serpentine sort within the school type substrata).



  1. Delta Samples


These are the private school samples at grades 4 and 8 for conducting the operational assessments in reading and mathematics. The sample sizes are large enough to report results by Catholic and non- Catholic at grades 4 and 8 (of course participation rate standards must be met). Approximately half the sample at each grade will be from Catholic schools. The grade 8 delta samples will be selected to have minimum overlap with the grade 4 delta sample. The number of students targeted per school will be 50 at each grade.


Stratification


The private schools are to be explicitly stratified by private school type (Catholic/Other). Within each private school type, implicit stratification will be by Census region (4 categories), type of location (12 categories), race/ethnicity composition, and enrollment size. In general, where there are few or no schools in a given stratum, categories will be collapsed together, always preserving the private school type.



  1. Epsilon Sample


With regard to subjects and grades assessed, this sample is analogous to the beta sample, but for private schools. However, in contrast to the beta sample, there will be no oversampling of high AIAN or high Black and Hispanic schools. The same stratification variables will be used as for the delta samples. The epsilon sample schools will have minimum overlap with the delta grade 4 and delta grade 8 sample schools which, given the respective sample sizes, means that no schools will be selected for both the delta and epsilon samples. The number of students targeted per school will be 50.

  1. LTT Samples


These are the public and private school samples at age 9 for conducting the LTT operational assessments in reading and mathematics. The sample sizes are not large enough for separate reporting by Catholic and non-Catholic. Approximately half the private school student sample will be from Catholic schools. The public LTT schools will be selected so as to ensure the inclusion of all eligible schools that were sampled for 2020. The number of students targeted per school will be 50.


In addition, we will implement oversampling of certain public schools based on their percentages of AIAN or Black and Hispanic enrollment. This school-level oversampling will be done in the same manner previously described for the beta samples. Beyond this, we will also implement the oversampling of AIAN, Black, and Hispanic students at the student level in schools not being oversampled at the school level.


Primary Sampling Unit (PSU) Selection


As the LTT assessments are national, with a total sample size of assessed students of about 16,000, for reasons of operational efficiency the assessments will be conducted in a sample of PSUs. These PSUs are the same ones used for the LTT assessments conducted in 2020 at ages 9 and 13. All sampled schools for LTT age 9 will be drawn from within the sampled NAEP 2020 LTT PSUs.


The PSUs were created from aggregates of counties. Data on counties were obtained from the 2010 Census, and the definitions of Metropolitan Statistical Areas (MeSAs) used were the December 2009 Office of Management and Budget (OMB) definitions. Each Metropolitan Statistical Area (MeSA) constitutes a PSU, except that MeSAs that cross state boundaries were split into their individual regional components.


Non-metropolitan PSUs were formed by aggregating counties into geographic units of sufficient minimum size to provide enough schools to constitute a workload of about 1% of the total sample. These PSUs were made of contiguous counties where possible, and almost contiguous counties (separated by MeSA counties) otherwise. Each PSU falls within a single state.


This process generated a frame of approximately 1,000 PSUs. The PSUs were stratified, using characteristics aggregated from county-level characteristics, found by analysis to be related to NAEP achievement in past assessments. A sample of 105 PSUs was selected. Twenty-nine large MeSAs

were selected with certainty, and the remaining sample was a stratified probability proportional to size (PPS) sample, where the size measure was a function of the number of children as given in the most recent population estimates prepared by the U.S. Census Bureau at the time of PSU selection.


Stratification


As in the recent past, the plan is to draw separate public and private school samples. Explicit stratification of schools will take place at the PSU level. For schools within PSUs, stratification gains are achieved by sorting the school file prior to systematic selection. As in past national PSU-based samples, the expectation is that, within the set of certainty MeSA PSUs within a census region, PSU will not necessarily be the highest level sort variable. Thus, type of location will be used as the primary sort variable. Consider for example the large MeSAs in the Midwest region. The design is aimed primarily at getting the correct balance of city, suburban, town, and rural schools crossed by city size and distance from urbanized areas, as a priority over getting exactly a proportional representation from each MeSA (Chicago, Detroit, Minneapolis), although of course it should be possible to get a high degree of control over both of these characteristics.


The sort of the schools will use other variables beyond type of location, such as PSU (for schools in non-certainty PSUs), estimated age 9 enrollment, oversampling stratum based on percentage of AIAN or Black and Hispanic enrollment, and actual percentage of AIAN or Black and Hispanic enrollment. Several distinct serpentine sorts will result depending on school type, whether or not the school is in a certainty PSU, and whether or not the school is in an oversampling stratum.



  1. New Schools


To compensate for the fact that files used to create the NAEP school sampling frames are at least two years out of date at the time of frame construction, we will supplement the alpha, beta, delta, epsilon, and LTT samples with new school samples at each grade (or age in the case of LTT).


The new school samples will be drawn using a two-stage design. At the first stage, a minimum of ten school districts (in states with at least ten districts) will be selected from each state for public schools, and ten Catholic dioceses will be selected nationally for the private schools. The sampled districts and dioceses will be asked to review lists of their respective schools and identify new schools. Frames of new schools will be constructed from these updates, and new schools will be

drawn with probability proportional to size using the same sample rates as their corresponding original school samples. The new school frames for LTT will be restricted to new schools in the sampled PSUs.


The school sample sizes in the above tables do not reflect new school samples.



  1. Substitute Samples


Substitute samples will be selected for each of the beta, delta, epsilon, and LTT samples. The

substitute school for each original will be the next “available” school on the sorted sampling frame,

with the following exceptions:


  1. Schools selected for any NAEP samples will not be used as substitutes.


  1. Private schools whose school affiliation is unknown will not be used as substitutes. Also, unknown affiliated private schools in the original samples will not get substitutes.


  1. New schools will not get substitutes.


  1. A school can be a substitute for one and only one sample. (If a school is selected as a substitute school for grade 8, for example, it cannot be used as a substitute for grade 4.)


  1. A public school substitute will always be in the same state as its original school.


  1. A Catholic school substitute will always be a Catholic school, and the same for non-Catholic schools.



  1. Contingency Samples


The districts that are taking part in the TUDA program are volunteers. Thus it is possible that at some point over the next few months, a given district might choose to opt out of the TUDA program for 2022. However, it is not acceptable for all schools in such a district to decline NAEP, as then the state estimates will be adversely affected. Thus to deal with this possibility, in each TUDA district, subsamples of the alpha sample schools will be identified as contingency samples. In the event that the district withdraws from the TUDA program prior to the selection of the student sample, all alpha sampled schools from that district will be dropped from the sample, with the exception of those selected in the contingency sample. The contingency sample will provide a

proportional representation of the district, within the aggregate state sample. Student sampling in those schools will then proceed in the same way as for the other schools within the same state.



  1. Student Sampling


Students within the sampled alpha, beta, delta, epsilon, and LTT private schools will be selected with equal probability. Students within the sampled LTT public schools will be selected with equal probability within race/ethnicity category. The student sampling parameters vary by sample type (alpha, beta, delta, epsilon, LTT) and grade (or age in the case of LTT) as described below.


Alpha Sample, Grades 4 and 8 Schools (Except Puerto Rico)


  1. All students, up to 52, will be selected.


  1. If the school has more than 52 students, a systematic sample of 50 students will be selected. In some schools, the school may be assigned more than one ‘hit’ in sampling. In these schools we will select a sample of size 50 times the number of hits, taking all students if this target is greater than or equal to 50/52 of the total enrollment.



Alpha Sample, Puerto Rico Grades 4 and 8


  1. All students, up to 26, will be selected.


  1. If the school has more than 26 students, a systematic sample of 25 students will be selected.


Delta Samples, Grades 4 and 8


  1. All students, up to 52, will be selected.


  1. If the school has more than 52 students, a systematic sample of 50 students will be selected.


Beta Sample, Grade 8


  1. All students, up to 52, will be selected.


  1. If the school has more than 52 students, a systematic sample of 50 students will be selected.


Epsilon Sample, Grade 8

  1. All students, up to 52, will be selected.


  1. If the school has more than 52 students, a systematic sample of 50 students will be selected.



LTT Samples, Age 9


  1. In all LTT public sample schools that are oversampled (as described in section III.5) and all LTT private sample schools, all students, up to 50, will be selected. If the school has more than 50 students, a systematic sample of 50 students will be selected.


  1. In all LTT public sample schools not oversampled at the school level, up to 50 students will be selected, plus an oversample of up to an additional 5 AIAN, Black, and Hispanic students. The maximum number of students selected in these schools will be 55.



  1. Weighting Requirements


The Operational Reading and Mathematics Assessments, Grades 4 and 8


The exact weighting requirements for these samples have yet to be determined. One likely possibility is that two sets of student weights will be required – the usual weights plus an additional set for linking to the NAEP 2021 Monthly School Survey. The samples will have student weights for each subject (reading and math) applied to reflect probabilities of selection, school and student nonresponse, any trimming, and the random assignment to the particular subject. There will be separate replication schemes by grade and public/private. Weights will also be derived for the Puerto Rico assessment at grades 4 and 8.


The Operational US History and Civics Assessments, Grade 8


The samples will have a single set of student weights for each subject (US history and civics) applied to reflect probabilities of selection, school and student nonresponse, any trimming, and the random assignment to the particular subject. There will be separate replication schemes by public/private.


The Operational LTT Reading and Mathematics Assessments, Age 9


The samples will have a single set of student weights for each subject (reading and math) applied to reflect probabilities of selection, school and student nonresponse, any trimming, and the random assignment to the particular subject. There will be separate replication schemes by public/private.



School Weights


In addition to student weights, each sample described above will have a set of school weights to provide secondary users a means to analyze data at the school level. Each sample will have a single set of school weights for each subject (reading, math, US history, or civics) applied to reflect probabilities of selection, school nonresponse, any trimming, and a small-school adjustment to account for schools too small to do both subjects associated to their respective samples. There will be separate replication schemes by public/private.


File Typeapplication/vnd.openxmlformats-officedocument.wordprocessingml.document
File TitleAppendix A (Statute Authorizing NAEP)
Authorjoconnell
File Modified0000-00-00
File Created2021-10-11

© 2026 OMB.report | Privacy Policy